7.1.4 混凝土不密实区和空洞检测
混凝土和钢筋混凝土结构物在施工过程中,有时因漏振、漏浆或因石子架空在钢筋骨架上,导致混凝土内部形成蜂窝状不密实区或空洞。这种结构物内部的隐蔽缺陷,应及时检查出并进行技术处理。
1.测试方法
混凝土内部的隐蔽缺陷情况,无法凭直觉判断,因此这类缺陷的测试区域,一般总要大于所怀疑的有缺陷的区域,或者首先作大范围的粗测,根据粗测情况再着重对可疑区域进行细测。根据被测结构实际情况,可按下列方法布置换能器进行检测。
(1)平面对测。
当结构被测部位具有两对平行表面时,可采用对测法。在对测法换能器布置示意图
测区的两对相互平行的测试面上,分别画出间距为200~300 mm的网格,并编号确定对应的测点位置,然后将T、R换能器分别置于对应测点上,逐点读取相应的声时(ti)、波幅(Ai)和频率(fi),并量取测试距离(li)。
(2)平面斜测。
结构中只有一对相互平行的测试面或被测部位处于结构的特殊位置,可采用斜测法进行检测。
(3)测试孔检测法。
当结构的测试距离较大时,为了提高测试灵敏度,可在测区适当位置钻一个或多个平行于侧面的测试孔。测孔的直径一般为45~50 mm,测孔深度视检测需要而定。结构侧面采用厚度振动式换能器,一般用黄油耦合,孔中用径向振动式换能器,用清水作耦合剂。检测时根据需要,可以将孔中和侧面的换能器置于同一高度,也可将二者保持一定的高度差,同步上下移动,逐点读取声时、波幅和频率值,并记下孔中换能器的位置。
2.不密实区和空洞的判定
由于混凝土本身的不均匀性,即使是没有缺陷的混凝土,测得的声时、波幅等参数值也在一定范围内波动。因此,不可能有一个固定的临界指标作为判断缺陷的标准,一般都利用统计方法进行判别。一个测区的混凝土如果不存在空洞、蜂窝区或其他缺陷,则可认为这个测区的混凝土质量基本符合正态分布,虽因混凝土质量的不均匀性,使声学参数测量值产生一定离散,但一般服从统计规律。若混凝土内部存在缺陷,则这部分混凝土与周围的正常混凝土不属于同一母体,其声学参数必然存在明显差异。
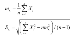
(1)混凝土声学参数的统计计算。
测区混凝土声时(或声速)、波幅、频率测量值的平均值(mx)和标准差(sx)应按下式计算:(https://www.daowen.com)

式中 Xi——第i点的声时(或声速)、波幅、频率的测量值;
N——一个测区参与统计的测点数。
(2)测区中异常数据的判别。
将一测区中各测点的声时值由小到大按顺序排列,即t1<t2<…<tn<tn+1…,将排在后面明显大的数据视为可疑,再将这些可疑数据中最小的一个(假定为tn)连同其前面的数据计算出mt及st,算出异常情况的判断值(X0)
X0=mt+λ1st
式中 λ——异常值判定系数,应按表7.1取值。
表7.1 统计数的个数n与对应的λ1值

把X0值与可疑数据中的最小值(tn)相比较,若tn大于或等于X0,则tn及排在其后的声时值均为异常值;当tn小于X0时,应再将tn+1放进去重新进行统计计算和判别。
同样,将一测区测点的波幅、频率或由声时计算的声速值按由大到小的顺序排列,即X1>X2>…>Xn>Xn+1>…排在后面明显小的数据视为可疑,再将这些可疑数据中最大的一个(假定为Xn)连同其前面的数据计算出mt及st,算出异常情况的判断值(X0)。
X0=mx-λ1st
把判断值(X0)与可疑数据中的最大值(Xn)相比较,若Xn小于或等于X0,则及排在其后的各数据均为异常值;当Xn大于X0,应再将Xn+1放进去重新进行统计计算和判别。