7.1.6 混凝土表面损伤层检测
2026年01月14日
7.1.6 混凝土表面损伤层检测
混凝土和钢筋混凝土结构物,在施工和使用过程中,其表面层会在物理和化学因素的作用下受到损害,如火灾、冻害和化学侵蚀等。从工程实测结果来看,一般总是最外层损伤程度较为严重,越向内部深入,损伤程度越轻。在这种情况下,混凝土强度和超声声速的分布应该是连续的。但为了计算方便,在进行混凝土表面损伤层厚度的超声波检测时,把损伤层与未损伤部分简单地分为两层来考虑。
1.测试方法
超声脉冲法检测混凝土表面损伤层厚度宜选用频率较低的厚度振动式换能器,采用平测法检测。将发射换能器T置于测试面某一点保持不动,再将接收换能器R以测距100 mm、150 mm、200 mm……,依次置于各点,读取相应的声时值ti。R换能器每次移动的距离不宜大于100 mm,每一测区的测点数不得少于5个。
检测时测区测点的布置应满足以下要求:
(1)根据结构的损伤情况和外观质量选取有代表性的部位布置测区;
(2)结构被测表面应平整并处于自然干燥状态,且无接缝和饰面层;
(3)测点布置时应避免T、R换能器的连线方向与附近主钢筋的轴线平行。
2.损伤层厚度判定
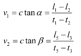
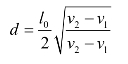
以各测点的声时值ti和相应测距值li绘制“时-距”坐标图(图7.1),两条直线的交点B所对应的测距定为l0,直线AB的斜率便是损伤层混凝土的声速v1,直线BC的斜率便是未损伤层混凝土的声速巧v2,则(https://www.daowen.com)

损伤层厚度可按下式计算

式中 d——损伤层厚度(mm);
l0——声速产生突变时的测距(mm);
v1——损伤层混凝土的声速(km/s);
v2——未损伤层混凝土的声速(km/s)。

图7.1 时-距坐标图