7.2.1 反射波法
1.基本原理
反射波法源于应力波理论,基本原理是在桩顶进行竖向激振,弹性波沿着桩身向下传播,在桩身存在明显波阻抗界面(如桩底、断桩或严重离析等部位)或桩身截面积变化(如缩径或扩径)部位,将产生反射波。经接收、放大滤波和数据处理,可识别来自桩身不同部位的反射信息,据此判断桩身的完整性。
通常,桩被假定为一维弹性杆件,由压缩波传播理论可推得不连续面两侧的波阻抗比为

式中 vp1,vp2——不连续面上、下段的弹性波波速;
ρ1,ρ2——不连续面上、下段的质量密度;
A1,A2——不连续面上、下段的杆件截面积;
E1,E2——不连续面上、下段的弹性模量;
——不连续面上、下段的质量。
因此,vp1ρ1及vp2ρ2为上、下段的阻抗。当a=1时,弹性杆连续,无突变。然后,截面A变化(缩、扩颈),或者质量密度ρ变化(孔隙、夹泥等),或者弹性波传播速度vp变化(疏松与硬化),都会使a不为1,形成不连续面,产生反射,如表7.2。
表7.2 波阻抗比a变化情况表

其次,由弹性杆件振动理论,可以得到
2fnL=vp(两端自由)
4fnL=vp(一端固定)
式中 L——桩长;
fn——桩的固有频率。
当桩的持力层是土层时,可视作二端自由的弹性杆件,只有当桩与新鲜基岩(或微风化)良好固结时,才可视作一端固定。
2.测试设备
反射波检测系统主要由传感器、信号采集及处理器构成测桩仪设备,弹性波激发设备由各类力锤组成,传感器可选用宽频带的速度型或加速度型传感器。
3.现场布置与测试
(1)对于灌注桩,混凝土应达到养护龄期,测试时须将上部的浮浆及松散碎屑清理干净。
(2)桩头不平整时,应予整平,其面积至少应可放置一个传感器。
(3)检测前应对仪器设备进行检查,性能正常方可使用。(https://www.daowen.com)
(4)激振点宜选择在桩头中心部位。传感器与桩头应采用石膏、橡皮泥或电磁铁紧密连接,避免用手在桩头上按压传感器,导致各种干扰。对于大直径的桩可设置两个或两个以上的传感器。
(5)根据桩位图及预定的百分比确定被测桩号及位置,并加以标识。检测混凝土灌注桩桩身完整性时,抽测数不得少于该批桩总数的20%,且不少于10根;对混凝土预制桩,抽测数不小于10%,且不少于5根。抽测不合格数超过抽测数的30%时,应加倍抽测。被测粧的确定可按随机方法,或参考施工记录,抽测有疑问的桩;或按桩的作用抽取如角桩边桩等.也可几种方法结合起来确定。
(6)每一根被检测的桩均应进行两次以上重复测试,重复测试的波形应与原波形具有相似性。出现异常波形应在现场研究,排除影响测试的不良因素后再复测。每根桩检测的波形记录不少于3条,以备分析。
4.检测资料的分析整理
(1)分析资料前,必须收集到下列资料:工程地质勘查报告、桩的设计资料非正常桩的施工记录、桩身混凝土标号检测报告、压桩试验报告等。
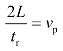
(2)按式即可得

式中 tr——桩的固有周期,也即桩底反射波到达时间(s);
L——桩身全长(m);
vp——桩身混凝土波速。
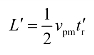
如反射波由不连续面(缺陷)反射时,则可转换成

式中 L′——缺陷的深度(m);
t
——缺陷反射波到达时间(s);
vpm——同一工地内多根合格桩桩身的平均值。
根据相应的混凝土波速vp,即可得到桩底反射波到达时间。混凝土标号越高,vp越大。由于混凝土的骨料、水泥类型不同,相同标号的混凝土波速、有一定离散性。
因此,波速与标号之间只是参考关系,如表7.3。
表7.3 混凝土标号与压缩波波速近似关系

(3)如波形中有桩底反射波出现,说明该桩未断;如桩底反射波之前无其他反射波出现,说明该桩为完整桩。
(4)如在桩底反射波之前,尚有其他反射波出现,说明桩身存在不连续面。该反射波出现越早,说明不连续面越近桩头。其深度可以求得。每一个反射反映一个不连续面。如几个反射波的时间间隔相等,即为一个面的多次反射。
(5)对不连续面必须加以鉴别。如反射波与激发波同相位,即为缺陷(如缩颈空洞等);如反向,则为扩颈。判断是否缺陷应结合工程地质资料及施工记录综合分析。
(6)如反射波出现较早,又无桩底反射,则断桩的概率极高。为避免误判,可横向激振,如出现低频振动,即为断桩。
(7)对于钻孔灌注桩,考虑到桩身与承台连接,桩头常有钢筋露出,这对实测波形有一定影响,严重时可影响反射信息的识别。这是因为在桩头激振时,钢筋所产生的回声极易被检波器接收,之后又与反射信息叠加在一起。克服这一因素影响的方法是,将检波器用细砂或粒土屏蔽起来,使检波器收不到声波信息。