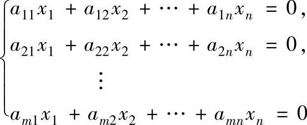
n元齐次线性方程组及其解法
【主要内容】
1.n元齐次线性方程组的概念方程组

称为n元齐次线性方程组.记

则上述方程组可简记为
Ax=0,(Ⅰ)其中,0是m维零列向量.称满足方程组(Ⅰ)的x为该方程组的解或解向量.
齐次线性方程组解的性质:
设ξ1,ξ2是方程组(Ⅰ)的解,则c1ξ1+c2ξ2(其中,c1,c2是任意常数)也是方程组(Ⅰ)的解.
2.n元齐次线性方程组有非零解的充分必要条件与其通解
方程组(Ⅰ)有非零解的充分必要条件为r(A)<n(或者说方程组(Ⅰ)只有零解的充分必要条件为r(A)=n.)
当方程组(Ⅰ)有非零解时,记r(A)=r,则该方程组存在满足下列两个条件的解向量组ξ1,ξ2,…,ξn-r(称为方程组(Ⅰ)的基础解系):
(1)ξ1,ξ2,…,ξn-r线性无关;
(2)方程组(Ⅰ)的任一解向量x都可由ξ1,ξ2,…,ξn-r线性表示,记为
x=c1ξ1+c2ξ2+…+cn-rξn-r(称为方程组(Ⅰ)的通解或一般解),其中,c1,c2,…,cn-r是任意常数.
注 当齐次线性方程组Ax=0有非零解时,其解的集合构成的向量空间,称为该方程组的解空间.该解空间的维数为n-r(其中,r=r(A)<n),一组基为
ξ1,ξ2,…,ξn-r(该方程组的一个基础解系).
【典型例题】
例6.1.1(单项选择题) 设A,B分别是m×n与n×m矩阵,则对于齐次线性方程组ABx=0,下列结论成立的是( ).
A.当n>m时,只有零解 B.当n>m时,必有非零解
C.当m>n时,只有零解 D.当m>n时,必有非零解
精解 ABx=0是m元齐次线性方程,因此只要确定r(AB)与m的关系即可.
由于r(AB)≤r(A)≤min{m,n},所以当n<m时,由min{m,n}=n<m知r(AB)<m,从而ABx=0必有非零解.
因此本题选D.
例6.1.2(单项选择题)已知α1,α2,α3,α4是方程组Ax=0的一个基础解系,则下列各向量组中也是Ax=0的一个基础解系的是( ).
A.与α1,α2,α3,α4等秩的一个向量组
B.与α1,α2,α3,α4等价的一个向量组
C.α1+α2,α2+α3,α3+α4,α4+α1
D.α1,α1+α2,α1+α2+α3,α1+α2+α3+α4
精解 按基础解系的定义判断.
由α1,α2,α3,α4是方程组Ax=0的一个基础解系知,每个基础解系中有且仅有4个线性无关的解向量,但选项A,B的向量组中可能包含4个以上的解向量,所以A,B不能选.向量组α1+α2,α2+α3,α3+α4,α4+α1有
(α1+α2)-(α2+α3)+(α3+α4)-(α4+α1)=0,即它们是线性相关的,所以C也不能选.
因此本题选D.(https://www.daowen.com)
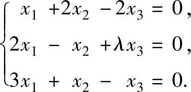
例6.1.3已知三阶矩阵B≠O3,且B的每个列向量都是以下齐次线性方程组的解:

求常数λ的值,并证明|B|=0.
精解 由题设B的列向量都是所给方程组的解,所以这个齐次线性方程组有非零解,从而它的系数矩阵A的秩小于3,即

因此得到 λ=1.
当λ=1时,
,即
r(A)=2,所以此时所给方程组的基础解系中只有3-2=1个线性无关的解向量,从而B的列向量组线性相关.由此推得|B|=0.
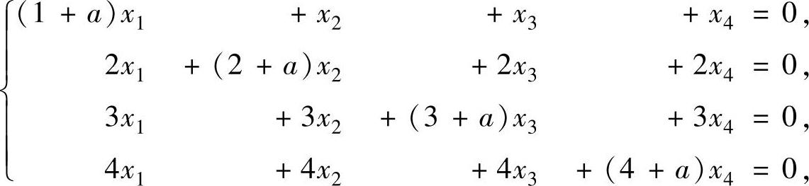
例6.1.4 设齐次线性方程组

求使该方程组有非零解的a值,并求此时方程组的通解.
精解 由于所给方程组的系数矩阵A是方阵,因此可从计算|A|入手.

于是,使所给方程组有非零解的a应满足|A|=0,即a=0或a=-10.
当a=0时,所给方程组成为
x1+x2+x3+x4=0.取其中的自由未知数为x2,x3,x4,赋予它们的值为1,0,0;0,1,0;0,0,1,则得通解
x=c1(-1,1,0,0)T+c2(-1,0,1,0)T+c3(-1,0,0,1)T.
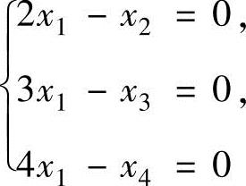
当a=-10时,所给方程组成为

对它的系数矩阵施行初等行变换(注意:求解线性方程组时,总是对系数矩阵或增广矩阵只施行初等行变换):

于是方程组(1)与方程组

同解,取自由未知数为x1,赋予它的值为1,则当a=-10时原方程组的通解为
x=c(1,2,3,4)T.
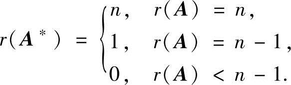
例6.1.5 设A∗是n(n≥2)阶矩阵的伴随矩阵,证明:

精解 先证明当r(A)=n,r(A)<n-1时,r(A∗)对应地为n和0,然后利用齐次线性方程组解的性质证明当r(A)=n-1时,r(A∗)=1.
(1)当r(A)=n时,|A|≠0,因此由|A∗|=|A|n-1知|A∗|≠0,从而r(A∗)=n.
(2)当r(A)<n-1时,由|A|的n-1阶子式全部为零知A∗=On,因此r(A∗)=0.
(3)当r(A)=n-1时,A中至少有一个n-1阶子式不为零,从而
r(A∗)≥1.(1)另一方面,此时|A|=0,于是由AA∗=|A|En得AA∗=On.此式表明A∗的每个列向量都是齐次线性方程组Ax=0的解向量,从而由r(A)=n-1知
r(A∗)≤n-(n-1)=1.(2)由式(1)、式(2)得r(A∗)=1.
注 本题的结论是有用的,应记住.