三、矩阵方程求解
【主要内容】
设A是m×n矩阵,B是m×l矩阵,它们都是已知矩阵,X是未知矩阵,则称方程AX=B为矩阵方程.满足AX=B的矩阵X称为该方程的解.
设A=(A┆B),称为该矩阵方程的增广矩阵,则
AX=B有唯一解的充分必要条件是
,
AX=B有无穷多解的充分必要条件是
,
AX=B无解的充分必要条件是
注 (ⅰ)矩阵方程AX=O(其中,A是已知的m×n矩阵,O是m×l零矩阵)有非零解的充分必要条件是r(A)<n(只有零解的充分必要条件是r(A)=n).
(ⅱ)当A是n阶可逆矩阵时,矩阵方程AX=B的唯一解为
X=A-1B.
(ⅲ)当矩阵方程AX=B有无穷多解时,其解的一般表达式称为通解或一般解.
【典型例题】
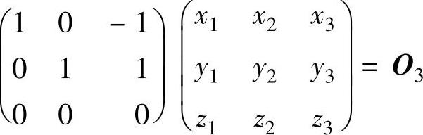
例6.3.1 设三阶矩阵

(1)证明:存在三阶矩阵B(B≠E3),使得AB=A;
(2)求出所有满足AB=A的矩阵B(B≠E3).
精解 本题实际是证明矩阵方程AX=O3有解,并求其通解.
(1)由于

所以 r(A)=2<3,因此矩阵方程AX=O有非零解,即存在非零矩阵B-E3使得A(B- E3)=O3.由此证得存在三阶不为E3的矩阵B,使得
AB=A.
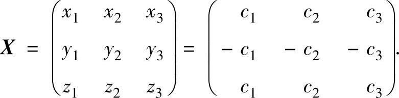
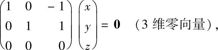
(2)记矩阵方程AX=O3的解
,则由(1)知AX=O3与矩阵方程

同解.
显然(xi,yi,zi)(i=1,2,3)都是方程组
(https://www.daowen.com)
即
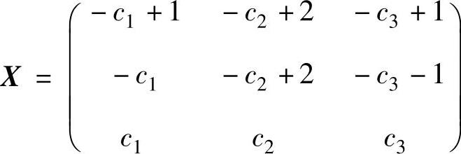
的解,而该方程组的通解为c(1,-1,1)T=(c,-c,c)T.因此

由于B≠E3,所以所求的
(其中,c1,c2,c3是不
全为零的任意常数).
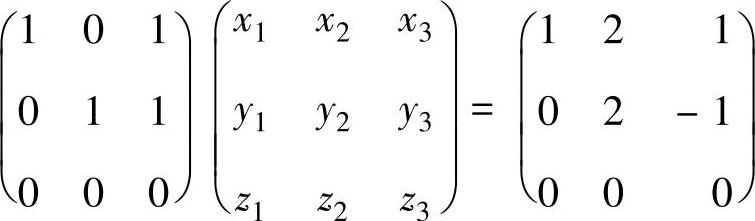
例6.3.2 设
,问a,b,c取
何值时,矩阵方程AX=B有无穷多解?并求出此时矩阵方程的通解.
精解 对所给矩阵方程AX=B的增广矩阵(A┆B)施行初等行变换:

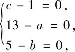
由此可知,当a-1=b-2=c-1=0,即a=1,b=2,c=1时,
,此时
矩阵方程AX=B有无穷多解.由于此时AX=B与矩阵方程

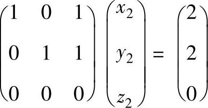
同解,而
的通解为(x1,y1,z1)T=c1(-1,-1,1)T+(1,0,0)T,
的通解为(x2,y2,z2)T=c2(-1,-1,1)T+(2,2,0)T,
的通解为(x3,y3,z3)T=c3(-1,-1,1)T+(1,-1,0)T.
所以,所求的通解
(其中,c1,c2,c3都是任意常数).
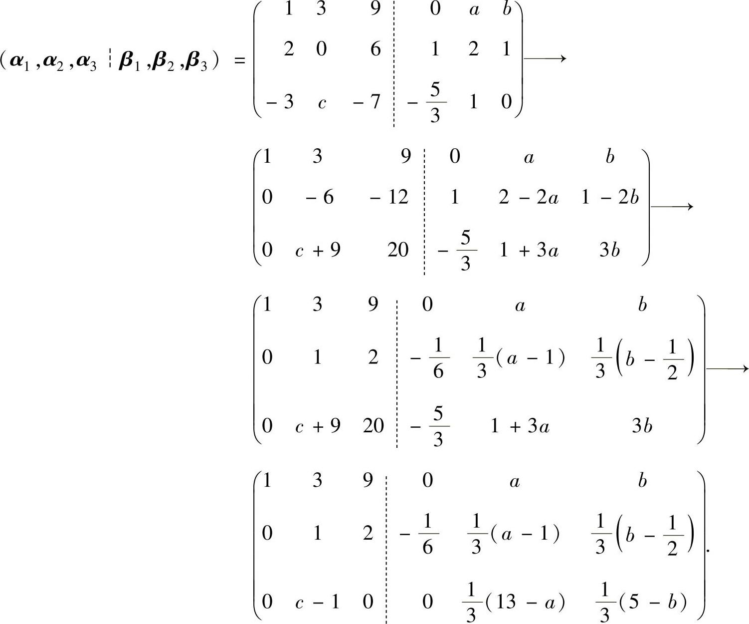
例6.3.3 已知向量组

,β2=(a,2,1)T,β3=(b,1,0)T可由向量组α1=(1,2,-3)T,α2=(3,0,c)T,α3=(9,6,-7)T线性表示,而且表达式并不是唯一的,求a,b,c的值.
精解 将向量组的线性表达式转换成矩阵方程,然后利用表达式不是唯一,即该矩阵方程有无穷多解,由此确定a,b,c的值.
设向量组β1,β2,β3由向量组α1,α2,α3的线性表达式为

即
对矩阵方程(1)的增广矩阵(α1,α2,α3┆β1,β2,β3)施行初等行变换

由题设知矩阵方程(1)有无穷多解,所以
r(α1,α2,α3┆β1,β2,β3)=r(α1,α2,α3)=2.
由此得到
即a=13,b=5,c=1.