练习题五解答
1.单项选择题
(1)D (2)C (3)B (4)C (5)D (6)C
(7)A (8)C (9)C (10)A (11)B (12)C
(13)B (14)D (15)B (16)D (17)D (18)A
(19)A (20)A (21)C (22)D (23)B (24)D
(25)B (26)C (27)B (28)B (29)C (30)D
2.解答题


(2)

(3)

(4)由ABA-1=BA-1+3E4得A∗ABA-1A=A∗BA-1A+3A∗A,即|A|B=A∗B+3|A|E4.由|A|3=|A∗|=8得|A|=2.所以上式成为
(2E4-A∗)B=6E4,即
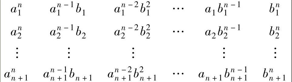
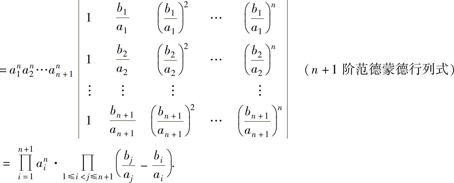
(5)由
知,A可逆的充分必要条件是a≠0.当a≠0时,
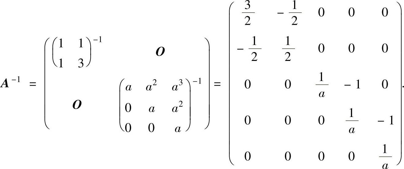
(6)由ABA∗=2BA∗+E3得
(由于|A|=3),
即
从而
(7)An-2An-1=An-2·A(A-2E3)
(8)由AB=En,即
得(2a2+a-1)ααT=On由ααT≠On
得2a2+a-1=0,由此得a=-1.
(9)(ⅰ)由2A-1B=B-4E3得AB-2B-4A=O3,即(AB-2B)-(4A-8E3)=8E3.于是有

所以,A-2E3可逆.
(ⅱ)由(ⅰ)得

(10)由
得

(11)由于|B|=10,即B可逆,所以r(AB)=r(A)=2.
(12)(ⅰ)由AB=O3得r(A)+r(B)-3≤r(AB)=0,即r(A)+r(B)≤3.由r(B)>1知r(A)≤1.于是由A的表达式得r(A)=1,从而有
即a=-2,b=-3,c=-2.
(ⅱ)将(ⅰ)中算得的a,b,c代入A得

则

(13)
,若λ≠3,则A可逆,从而r(AB)=r(B)=
2.与题设矛盾.从而λ=3.
(14)记A的三阶子行列式
为D3,令D3=0得
所以
时r(A)=3.
当
时,对A施行初等行变换.(https://www.daowen.com)

由此可知,当
,且2λ3-λ2-λ≠0时,即
,且
时,r(A)=3;
当
时,r(A)=2.
(15)由于B=En-2A-A2=A3-A2-2A=A(A+En)(A-2En),
其中,由A3=En,即A·A2=En知A可逆,且A-1=A2;由A3=En,即A3+En=2En或
知A+En可逆,且

由A3=En,即A3-(2En)3=-7En或
知A-
2En可逆,且
由此可知B可逆,且

(16)由
知r(A)=2,所有的极大线性无关组为α1,α3与α2,α3.
(17)记
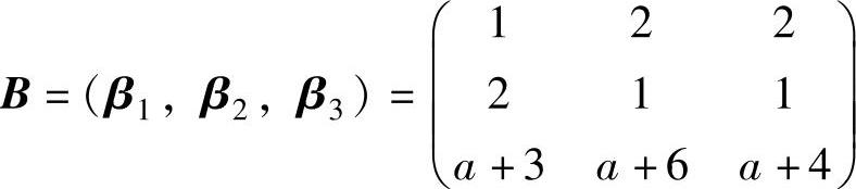
,则|B|=6≠0.所以β1,β2,β3
线性无关,从而(Ⅰ)可由(Ⅱ)线性表示.记
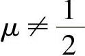
,则|A|=a+1.由此可知,当a≠-1时,α1,
α2,α3线性无关,此时(Ⅱ)可由(Ⅰ)线性表示,即(Ⅰ)与(Ⅱ)等价(当a=-1时由r(α1,α2,α3)<r(β1,β2,β3)知,(Ⅰ)与(Ⅱ)不等价).
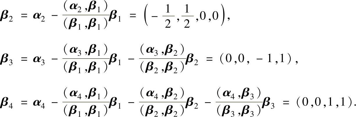
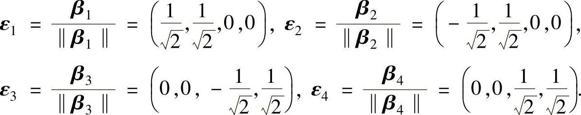
(18)正交化:
β1=α1=(1,1,0,0),

单位化:

α1,α2,α3,α4的正交单位向量组为ε1,ε2,ε3,ε4.
(19)假设存在数k1,k2,…,ks使得k1α1+k2α2+…+ks-1αs-1+ksαs=0.此外由题设知
(A-E)α1=0,
(A-E)α2=α1,即(A-E)2α2=0,
(A-E)α3=α2,即(A-E)2α3=α1,(A-E)3α3=0,
︙
(A-E)αs-1=αs-2,即(A-E)s-2αs-1=α1,(A-E)s-1αs-1=0,
(A-E)αs=αs-1,(A-E)s-1αs=α1,
所以
k1(A-E)s-1α1+k2(A-E)s-1α2+…+ks-1(A-E)s-1αs-1+ks(A-E)s-1αs=0,
即 ksα1=0.由此得ks=0.从而有
k1α1+k2α2+…+ks-1αs-1=0.
于是同样可证 ks-1=ks-2=…=k1=0.因此α1,α2,…,αs线性无关.
(20)由r(B)≥r(AB)=m,r(B)≤n≤m知r(B)=m=B的列数,所以B的列向量组线性无关.
(21)由
知,β1=-4α1+3α2,β2=7α1-5α2.所以,对于不全为零的k1,k2,非零
向量k1β1+k2β2=(-4k1+7k2)α1+(3k1-5k2)α2可以由β1,β2线性表示,也可由α1,α2线性表示.因此所求的非零向量为
