随机事件及其概率的概念
【主要内容】
1.随机事件
随机试验E的所有可能结果的集合,称为样本空间,记为Ω,Ω的每个元素称为样本点,Ω的每个子集称为随机事件(简称事件),用A,B,Ai等表示,特别地,称其中的单点集为基本事件,称空集为不可能事件,记为,称Ω为必然事件.
(1)随机事件间的关系
包含:设A,B是事件,如果A发生必导致B发生,则称A包含于B(或B包含A),记为A⊂B(或B⊃A).
相等:设A,B是事件,如果A⊂B且B⊂A,则称A,B相等,记为A=B.
互不相容:设A,B是事件,如果A,B不同时发生,则称A,B互不相容(或互斥).
两两互不相容:设A1,A2,…,An,…都是随机事件,如果其中任意两个都是互不相容的,则称A1,A2,…,An,…两两互不相容.
对立:设A,B是随机事件,如果A与B有且仅有一个发生,则称A与B对立,此时也称B为A的逆事件,记为
,即
,也称A是B的逆事件,记为
,即
独立:(见本章三).
(2)随机事件的运算
和运算:设A,B是事件,则称A∪B是A与B的和事件,它是当且仅当A,B中至少有一个发生时才发生的事件.由事件A,B产生事件A∪B的运算称为和运算.
和运算可以推广到n个事件情形和无限可列个事件情形.
积运算:设A,B是事件,则称A∩B(简记为AB)是A与B的积事件,它是当且仅当A与B同时发生时才发生的事件.由事件A,B产生事件AB的运算称为积运算.
积运算可以推广到n个事件情形和无限可列个事件情形.
差运算:设A,B是事件,则称A-B是A与B的差事件,它是当且仅当A发生而B不发生时才发生的事件.由事件A,B产生A-B的运算称为差运算.
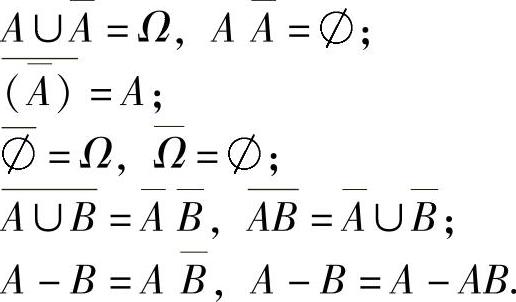
上述运算有以下性质:设A,B,C都是事件,则
A∪B=B∪A,AB=BA;
(A∪B)∪C=A∪(B∪C),(AB)C=A(BC);
A∪(BC)=(A∪B)(A∪C),A(B∪C)=AB∪AC;
A∪A=A,AA=A;
A∪Ω=Ω,A∪=A;
AΩ=A,A=;

2.随机事件概率的定义
设随机试验E的样本空间为Ω,如果Ω的任一事件A都有唯一的满足下列条件的实数P(A)与之对应,则称P(A)为A的概率:
(1)P(A)≥0;
(2)P(Ω)=1;
(3)对两两互不相容事件A1,A2,…,An,…有
3.随机事件概率的计算公式:设A,B,C是事件,则有以下的概率计算公式:
(1)逆事件概率公式(简称逆概公式)

(2)加法公式
P(A∪B)=P(A)+P(B)-P(AB),特别地,当A与B互不相容时有P(A∪B)=P(A)+P(B).
P(A∪B∪C)=P(A)+P(B)+P(C)-P(AB)-P(AC)-P(BC)+P(ABC),特别地,当A,B,C两两互不相容时,P(A∪B∪C)=P(A)+P(B)+P(C).
(3)减法公式
P(A-B)=P(A)-P(AB),特别地,当A⊃B时,P(A-B)=P(A)-P(B).(https://www.daowen.com)
(4)乘法公式(见本章二)
4.古典概型与几何概型的随机事件的概率(即古典型概率与几何型概率)
(1)古典型概率的定义
如果随机试验E的样本空间Ω只有有限个基本事件,且每个基本事件发生的可能性相同,则称这样的随机试验E为古典概型.设A是E的事件,则定义
(古典型概率),其中,n是Ω的基本事件个数,m是A包含的基本事件个数.
(2)几何型概率的定义
如果随机试验E是从某一线段(或平面、空间中有界区域)Ω上任取一点,并且所取的点位于Ω中任意两个长度(或面积、体积)相等的子区间(或子区域)内的可能性相同,则这样的E称为几何概型,记A为所取点位于Ω中任意子区间(或子区域)G内这一事件,则定义
(几何型概率),其中,S0,S分别是Ω与G的长度(或面积、体积).
【典型例题】
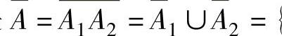
例7.1.1 (单项选择题)记随机事件A={甲种产品畅销而乙种产品滞销},则A为( ).
A.{甲种产品滞销而乙种产品畅销}
B.{甲、乙两种产品都畅销}
C.{甲种产品滞销}
D.{甲种产品滞销或乙种产品畅销}
精解 记A1={甲种产品畅销},A2={乙种产品滞销},则
A=A1A2.于是
甲种产品滞销或乙种产品畅销}.
因此本题选D.
例7.1.2 (单项选择题)设只有当事件A与B同时发生时,事件C才发生,则().
A.P(C)≤P(A)+P(B)-1 B.P(C)≥P(A)+P(B)-1
C.P(C)=P(AB) D.P(C)=P(A∪B)
精解 由于事件A与B同时发生时事件C发生,所以AB⊂C.由此得到P(C)≥P(AB)=P(A)+P(B)-P(AB)≥P(A)+P(B)-1.因此本题选B.
例7.1.3 设A,B是事件,且P(A)=0.6,P(B-A)=0.3,求
精解 用概率计算公式计算
P(AB)=1-P(A∪B)=1-[P(A)+P(B)-P(AB)]
=1-P(A)-[P(B)-P(AB)]
=1-P(A)-P(B-A)(这里利用P(B-A)=P(B)-P(AB))
=1-0.6-0.3=0.1.
例7.1.4 从5双不同号码的鞋子中任取4只,求4只鞋子中至少有两只配成一双的概率.
精解 先引入有关的事件:
A={4只鞋子中至少有两只配成一双},
A1={4只鞋子中恰有两只配成一双},
A2={4只鞋子中恰好配成两双},由于A1,A2的概率较A的概率易于计算,所以用A1,A2表示A后再用概率计算公式计算P(A).
由于A=A1∪A2,且A1与A2互不相容,所以
P(A)=P(A1)+P(A2)(1)其中P(A1),P(A2)都是古典型概率.由于A1表示4只鞋子中恰有两只成双,而其余两只不成双,前者有C51种不同取法,而后者可以从剩下的四双鞋子中任取两只左脚的或两只右脚的,也可以取一只左脚的,另一只是与此不成双的右脚的,所以有C21C42+C41C31种不同取法.从而

A2表示4只鞋子恰好配成两双,即从5双鞋子中任取两双,所以共有C25种不同取法,因此,

将式(2)、式(3)代入式(1)得
