(一维)离散型随机变量及其分布律
【主要内容】
1.(一维)随机变量的定义
设随机试验E的样本空间为Ω,则定义在Ω上的实单值函数称为E的一个(一维)随机变量,用X,Y,Xi等表示.
由此可知,随机变量的取值随E的结果而定,在试验之前不能预知它取什么值,且它的取值有一定的概率.
2.(一维)离散型随机变量及其分布律
设随机变量X的全部可能取到的值是有限多个或可列无限多个,则称X为(一维)离散型随机变量.
设X是离散型随机变量,它全部可能取到的值为x1,x2,…,xk(或x1,x2,…,xn,…),对应的概率为p1,p2,…,pk(或p1,p2,…,pn,…),则称

或

(简写为P(X=xi)=pi,i=1,2,…,k)(简写为P(X=xi)=pi,i=1,2,…,n,…)为X的分布律(或概率分布),其中pi有以下性质:
(1)每个pi>0;
(2)Σipi=1.
3.常用(一维)离散型随机变量及其分布律
(1)服从0-1分布的随机变量设随机变量X的分布律为
,则称X是服从以p为参数的0-1分布的随机变量,简称X服从以p为参数的0-1分布,
(2)服从二项分布的随机变量
设随机变量X的分布律为P(X=k)=Cknpk(1-p)n-k(k=0,1,2,…,n),则称X是服从参数为n,p(n为正整数,0<p<1)的二项分布的随机变量,简称X服从参数为n,p的二项分布,记X~B(n,p).
注 设随机试验E只有两个可能的结果A与A,且P(A)=p(0<p<1).现将E独立重复进行n次(称这一串试验为n重伯努利试验),记随机变量X为n重伯努利试验中A出现的次数,则X~B(n,p).
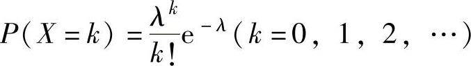
(3)服从泊松分布的随机变量
设随机变量X的分布律为
,则称X是服从参数为λ
(λ>0)的泊松分布的随机变量,简称X服从参数为λ的泊松分布,记为X~π(λ).
【典型例题】
例7.4.1 (单项选择题)某人向同一目标独立重复射击,每次命中目标的概率为p(0<p<1),则此人第4次射击恰好是第2次命中目标的概率为().(https://www.daowen.com)
A.3p(1-p)2 B.6p(1-p)2 C.3p2(1-p)2 D.6p2(1-p)2
精解 所求概率=P{前3次射击恰有一次命中目标,而第4次射击命中目标}
=P{前3次射击恰有一次命中目标}·P{第4次射击命中目标}
=P(X=1)·p(其中X表示3次射击过程中命中目标的次数,
X~B(3,p))
=C31p(1-p)2·p=3p2(1-p)2.
因此本题选C.
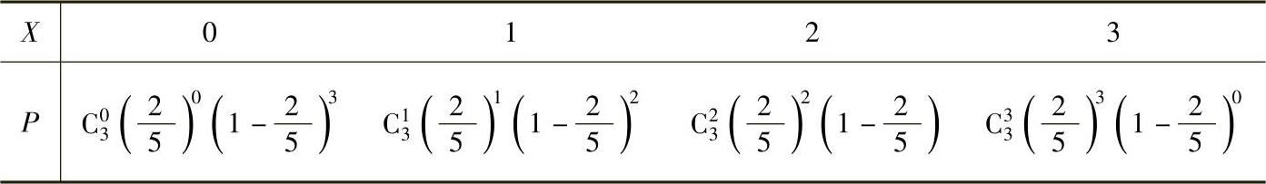
例7.4.2 从学校回家途中需经过3个信号灯,设在各个路口遇到红灯是相互独立的,
并且概率都为
,记X为途中遇到红灯的次数,求X的分布律.
精解 从学校回家,每经过一个路口可理解为一次试验,它有两个可能的结果,A,A
(其中,A={经路口时遇到红灯}),且
,这样经过3个路口可以理解成3重伯努
利试验,于是
,从而X的分布律为

即

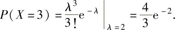
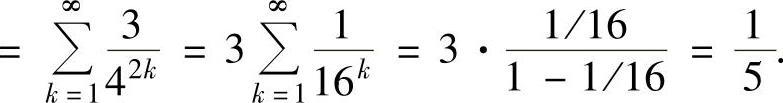
例7.4.3 设随机变量X~π(λ),且
,求概率P(X=3).
精解 欲求概率P(X=3),应先确定参数λ(λ>0).由于X~π(λ),所以由
得
,即λ=2.于是
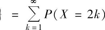
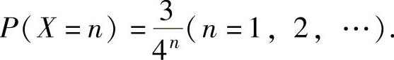
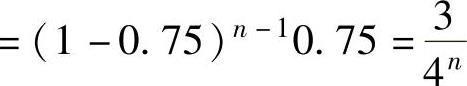
例7.4.4 某射手的命中率为0.75,现对某一目标连续独立射击,直到击中为止.记X为射击终止时的射击次数,求:
(1)X的分布律;
(2)X取偶数值的概率.
精解 (1)只要算出概率P(X=n)(n=1,2,…)即可.
由于{X=n}={前n-1次都未命中,而第n次命中}
={前n-1次都未命中}{第n次命中},
而{前n-1次都未命中}与{第n次命中}独立,所以
P(X=n)=P{前n-1次都未命中}P{第n次命中}
,从而X的分布律为
(2)P{X取偶数值的概率
