条件概率与乘法公式,全概率公式与贝叶斯公式
【主要内容】
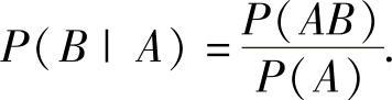
1.条件概率的定义
设A,B是事件,P(A)>0,则称A发生条件下B发生的概率为条件概率,记为P(B|A),且定义
注 条件概率也是概率,所以它也具有概率的所有性质,例如
P(B|A)=1-P(B|A),
P(B1∪B2|A)=P(B1|A)+P(B2|A)-P(B1B2|A),
P(B1-B2|A)=P(B1|A)-P(B1B2|A).
2.乘法公式
设A,B是事件,则

注 (ⅰ)当P(A),P(B)都大于零时,欲用乘法公式解题时,总是将A,B中先发生的事件作为条件来考虑条件概率,例如,当A先发生时,总是使用P(AB)=P(A)P(B|A).
(ⅱ)当P(AB)>0时有P(ABC)=P(A)P(B|A)P(C|AB).
3.全概率公式与贝叶斯公式
全概率公式:
设B1,B2,…,Bn是一个完全事件组(即B1,B2,…,Bn两两互不相容,且满足B1∪B2∪…∪Bn=Ω),则当P(Bi)>0(i=1,2,…,n)时,对任意事件A有

注 使用全概率公式解题时,可按以下原则寻找完全事件组B1,B2,…,Bn:
(ⅰ)B1,B2,…,Bn与A有关;
(ⅱ)B1,B2,…,Bn都较A先发生.
贝叶斯公式:
设B1,B2,…,Bn是一个完全事件组,且P(Bi)>0(i=1,2,…,n),则当P(A)>0时,

注 实际上,贝叶斯公式是条件概率与全概率公式的直接推论,因此计算条件概率P(Bi|A)时,不必直接使用贝叶斯公式,而先用条件概率计算公式
,然后再用全概率公式计算P(A)(P(BiA)是
的右边第i项).
【典型例题】
例7.2.1 (单项选择题)设事件A,B满足0<P(A)<1,0<P(B)<1,P(A|B)≥
,则有( ).
A.
B.
C.
D.
精解 从题设P(A|B)≥P(A|B)出发进行推理.由
得
,即P(AB)-P(AB)P(B)≥P(A)P(B)-P(AB)P(B),化简后得
P(AB)≥P(A)P(B).由此得到P(A)P(B|A)≥P(A)P(B),
于是有
因此本题选A.
例7.2.2 在10件产品中有4件一等品,6件二等品.现从中任取两次,每次取一件取后不放回.已知其中至少有一件是一等品,求两件都是一等品的概率.
精解 引入随机事件
A={先取出的一件产品为一等品},
B={后取出的一件产品为一等品},则欲求概率为条件概率P(AB|A∪B).由条件概率计算公式得
,(1)
其中,
,(2)

将式(2)、式(3)代入式(1)得
(https://www.daowen.com)
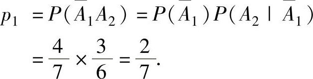
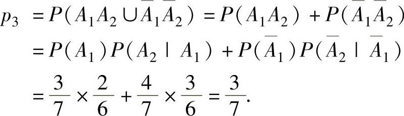
例7.2.3 袋内有7个球,其中4个红球,3个白球.现不放回地取球,每次取1个.
(1)求第2次取球才取到白球的概率p1;
(2)求第2次取球取到的是白球的概率p2;
(3)求第1,2次取球取到的是同色球的概率p3.
精解 引入随机事件Ai={第i次取球取到的是白球}(i=1,2).
(1){第2次取球才取到白球}={第1次未取到白球而第2次取球取到白球
所以,
(2)p2=P(第2次取球取到的是白球)=P(A2).
由于A2与A1,
有关,显然A1,
都发生于A2之前,且是一个完全事件组,所以,
由全概率公式得

(3){第1,2次取球取到的是同色球}
={第1,2次取球取到的都是白球或都是红球}
(其中A1A2,A1A2互不相容),所以,
例7.2.4 两位男士和一位女士坐在候诊室W1内,一位男士和两位女士坐在候诊室W2内,医生从W2随机叫出一人之前,有一个人从W1到W2去候诊.已知被叫出的人恰好是男士,求换候诊室的人也是男士的概率.
精解 先引入事件
A={换候诊室的人是男士},
B={被叫出的人是男士},则欲求的概率是条件概率P(A|B).由条件概率计算公式得

由于B与A,
有关,显然A,
都发生于B之前,且是一个完全事件组,所以由全概
率公式得

所以,
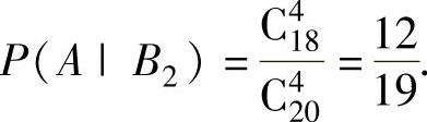
例7.2.5 玻璃杯成箱出售,每箱20个.设每箱有0,1,2个残次品的概率分别为0.8,0.1,0.1.一位顾客欲购一箱玻璃杯,在购买时,售货员随意取出一箱,而顾客随机地察看其中4个玻璃杯,若无残次品,则买下这箱玻璃杯,否则退回.
(1)求顾客买下该箱玻璃杯的概率α;
(2)已知顾客买下该箱玻璃杯,求该箱玻璃杯中残次品数为零的概率β.
精解 引入有关的事件:
A={顾客买下该箱玻璃杯}={顾客察看的4个玻璃杯中无残次品},
Bi={该箱玻璃杯的残次品数为i}(i=0,1,2).
(1)由于A={顾客察看的4个玻璃杯中无残次品},所以A与B0,B1,B2有关,且B0,B1,B2是发生于A之前的一个完全事件组.因此由全概率公式得
α=P(A)=P(B0)P(A|B0)+P(B1)P(A|B1)+P(B2)P(A|B2),(1)
其中,
,
,
P(A|B0)=1,
,
将它们代入式(1)得

(2)

例7.2.6 甲、乙、丙三人进行一次射击比赛,赛前发现只带两发子弹,因此将比赛改为一人进行射击表演,并且由抽签确定表演者,设每次射击的命中率甲为0.9,乙为0.5,丙为0.2,且已知射击结果为一次命中一次未命中,问表演者为甲、乙、丙的概率各为多少?
精解 先引入有关事件:
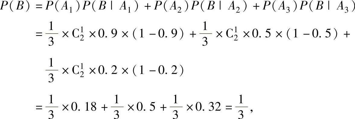
A1={甲表演},A2={乙表演},A3={丙表演},
B={一次命中一次未命中},则
由于B与A1,A2,A3有关,且A1,A2,A3是发生于B之前的一个完全事件组,因此由全概率公式得

所以
