(一维)连续型随机变量及其概率密度
【主要内容】
1.(一维)连续型随机变量及其概率密度的概念
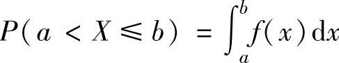
设随机变量X,如果存在非负可积函数f(x)(-∞<x<+∞),使得对任意实数a,b(a<b)有
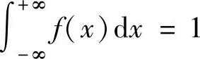
,则称X是(一维)连续型随机变量,称f(x)是X的概率密度,其中f(x)有以下性质:
(1)f(x)非负可积;(2)
注 对连续型随机变量,P(X=C)=0(C是任意实数),所以对任意实数a与b(a<b),都有
P(a<X≤b)=P(a≤X≤b)=P(a≤X<b)=P(a<X<b).
2.常用(一维)连续型随机变量及其概率密度
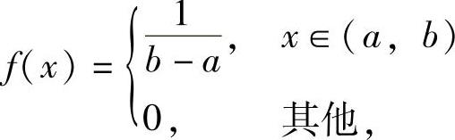
(1)在区间(a,b)内服从均匀分布的随机变量
设随机变量X的概率密度为
,则称X是在(a,b)内服从均匀
分布的随机变量,简称X在(a,b)内服从均匀分布,记为X~U(a,b).
上述(a,b)也可以换成[a,b],(a,b]或[a,b).
注 (ⅰ)当X~U(a,b)时,X落在(a,b)的任意等长子区间内的概率相等.
(ⅱ)通常,说X在(a,b)内随机取值,表明X~U(a,b).
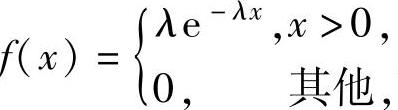
(2)服从指数分布的随机变量
设随机变量X的概率密度为f
则称X是服从参数为λ(λ>0)的指数
分布的随机变量,简称X是服从参数为λ的指数分布,记为X~E(λ).
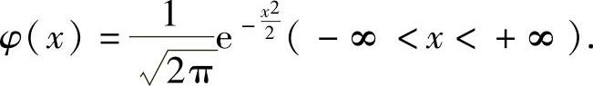
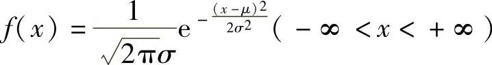
(3)服从正态分布的随机变量
设随机变量X的概率密度为
,则称X是服从参数为μ,σ2(μ为实数,σ>0)的正态分布的随机变量,简称X服从参数为μ,σ2的正态分布,记为X~N(μ,σ2).
μ=0,σ2=1时的正态分布,记为N(0,1),称为标准正态分布,当X~N(0,1)时,它的概率密度
【典型例题】
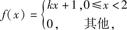
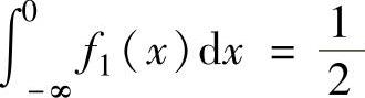
例7.5.1 (单项选择题)设f1(x),f2(x)都是概率密度,则( ).
A.f1(x)+f2(x)是概率密度
B.f1(x)-f2(x)是概率密度
C.对任意实数a,b,非负函数af1(x)+bf2(x)是概率密度
D.非负函数af1(x)+bf2(x)(其中,常数a,b满足a+b=1)是概率密度
精解 利用概率密度的性质排除其中三个选项,即可得到正确选项.
由于f1(x),f2(x)都是概率密度,所以对于选项A,B,C,有
未必为1,显然,这些都不符合概率密度的性质,故排除选项A,B,C.
因此本题选D.
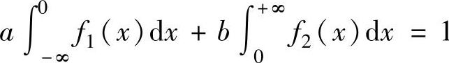
例7.5.2 (单项选择题)设f1(x)为服从标准正态分布的随机变量的概率密度,f2(x)为(-1,3)内服从均匀分布的随机变量的概率密度,若

为概率密度,则a,b应满足( ).
A.2a+3b=4 B.3a+2b=4(https://www.daowen.com)
C.a+b=1 D.a+b=2
精解 利用概率密度性质
判定正确的选项.
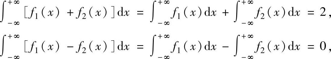
由于f(x)是概率密度,所以有
,即
,(1)
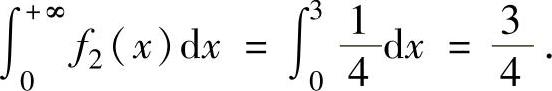
其中
,
将它们代入式(1)得
,即2a+3b=4.
因此本题选A.
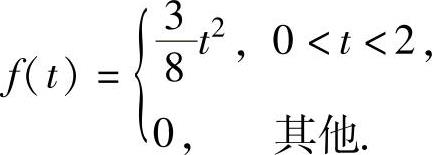
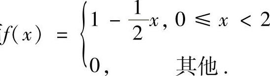
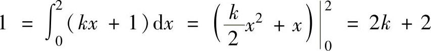
例7.5.3 设随机变量X的概率密度为
,求:
(1)常数k的值;
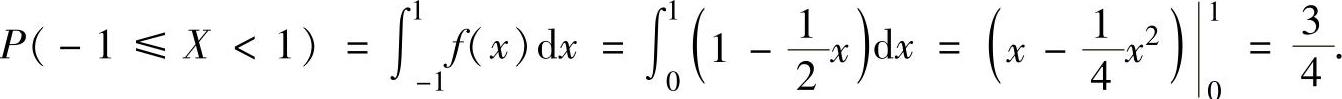
(2)概率P(-1≤X<1).
精解 (1)利用概率密度性质计算k的值.
由
,即
,所以
,从
而
,
(2)
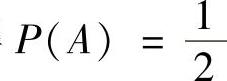
例7.5.4 设随机变量X,Y服从相同的分布,概率密度为

已知事件A={X>a}和B={Y>a}独立,且
,求参数a的值,并计算概
率P(|a|<X<2|a|).
精解 首先确定a的取值范围,然后利用
计算a的值,
当a≤0时,由P(A∪B)≥P(A)得
,这是不可能的;
当a≥2时,由P(A∪B)=P(A)+P(B)-P(AB)=2P(A)-[P(A)]2得
,
这也是不可能的,所以0<a<2,且

于是,由

得
,即
,所以
因此,

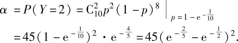
例7.5.5 已知某厂生产的电子元件寿命X(单位:h)服从参数为
3
的指数分布,该厂规定寿命低于300h的电子元件可以要求退换.求:
(1)该厂生产的电子元件要求退换的概率p;
(2)在出售的10个电子元件中恰好有两个要求退换的概率α.
精解 (1)先写出X的概率密度,然后计算概率P(X<300),即得p.X的概率密度为

所以

(2)记Y为出售的10个电子元件中要求退换的个数,则Y~B(10,p),所以
