能力提升
2026年01月14日
能力提升
1.填空题
(1)若
=_________.
(2)设f(x)在[-a,a]上连续,则
=_________.
(3)定积分
=_________.
(4)若k为正整数,则
=_________.
(5)
=________.
(6)函数
在区间[1,8]上的平均值为_________.
(7)已知v(t)=t2+1,在时间间隔[0,3]上,物体的位移s=________.
2.选择题
(1)设a为常数,且
,则a=( ).
A.1 B.2 C.-1 D.-2
(2)若
,则
=( ).
A.3 B.4 C.-3 D.-4
(3)定积分( )的值为0.(https://www.daowen.com)
![]()
(4)设f(x)为连续函数,则下列等式中正确的是( ).

(5)
,则
=( ).
A.1 B.2 C.3 D.4
(6)
=( ).
![]()
(7)
=( ).
![]()
![]()
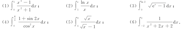
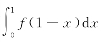
3.计算下列各定积分.

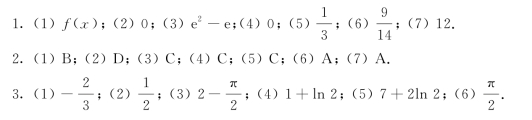
答案
