7.2.3 定积分的计算

定积分的换元积分法
应用微积分基本公式计算定积分时,首先要求出原函数.本节我们介绍定积分的换元积分,定积分的分部积分以及MATLAB求定积分.
7.2.3.1 定积分的换元法
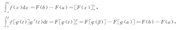
定理 若(1)函数f(x)在区间[a,b]上连续;
(2)函数x=φ(t)在区间[α,β]上单值有连续导数;
(3)当α≤t≤β时,有a≤φ(t)≤b,又φ(α)=a,φ(β)= B.
在这些条件下,则有定积分的换元公式

事实上,设F(x)是f(x)的原函数,即F′(x)=f(x).
由复合函数的求导法则,F[φ(t)]是f[φ(t)]φ′(t)的原函数.由微积分基本公式,得

故

应用定积分换元公式时注意两点:
(1)用x=φ(t)把原来变量x代换成新变量t时,积分的上、下限也要换成相对应于新变量t的积分上、下限,即“换元必换限”;
(2)求出f[φ(t)]φ′(t)的一个原函数F[φ(t)]后,不必像计算不定积分那样再把F[φ(t)]回代成原来变量x的函数,只要把t的上,下限代入F[φ(t)]计算即可.
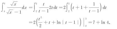
例1 计算
.
解 设x=t,则x=t2,dx=2tdt.
当x=4时,t=2;当x=9时,t=3.
原式:

MATLAB代码为:

按Enter得到结果为ans=log(4)+7.
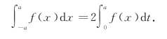
例2 证明
(1)若函数f(x)在区间[-a,a]上连续,且为偶函数(图7-18),则


图7-18

图7-19
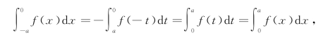
(2)若函数f(x)在区间[-a,a]上连续,且为奇函数(图7-19),则

证明 已知
.
对于积分
,
当f(x)为偶函数,有f(x)=f(-x).令x=-t,则dx=-dt,这时

所以
.
当f(x)为奇函数,有f(x)=-f(-x).令x=-t,则dx=-dt,这时

所以
.
例2表明了奇,偶函数在对称区间[-a,a]上的积分性质.利用这一性质,可以简化在对称区间上奇,偶函数的定积分的计算.
例3 计算
.
解 因为
为奇函数,积分区间与原点对称,
所以

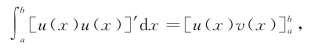
7.2.3.2 定积分的分部积分法
设函数u(x),v(x)在区间[a,b]上有连续导数,由函数乘积的导数公式,有
[u(x)v(x)]′=u′(x)v(x)+u(x)v′(x).
分别求上式两边在[a,b]上的定积分,得(https://www.daowen.com)

由于
![]()
所以有
![]()
或简写为

式(7.2.3)或式(7.2.4)都称为定积分的分部积分公式.用分部积分公式求定积分的方法就是分部积分法.
例1 求
.
解

例2 求
.
解

7.2.3.3 MATLAB求定积分
MATLAB中主要用int进行符号积分.

例1 计算
.
解 MATLAB代码为:

按Enter得到结果为ans=1/6.

例2 计算
.
解 MATLAB代码为:

按Enter得到结果为ans=pi/16所以:

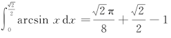
例3 求
.
解 MATLAB代码为:

按Enter得到结果为ans=(pi*2^(1/2))/8+2^(1/2)/2-1.
所以
:
例4 求
.
解 MATLAB代码为:

按Enter得到结果为ans=2.
所以![]()
例5 求
.
解 MATLAB代码为:

按Enter得到结果为ans=log(256)-4.
所以:
.
课后提升
1.求下列定积分.

![]()
2.求下列定积分.

答案
