7.3.2 定积分的几何应用
7.3.2.1 平面图形的面积
1.直角坐标系下平面图形的面积
情形1:
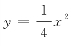
设函数y=f(x)在区间[a,b]上连续,由曲线y=f(x)和直线x=a,x=b以及x轴所围成的曲边梯形的面积A.
(1)当函数f(x)≥0时(图7-20),面积A的微元是
dA=f(x)dx.

图7-20

图7-21
(2)当函数f(x)在区间[a,b]上有正有负时(图7-21),面积A的微元应是以|f(x)|为高,dx为底的小矩形面积,即
dA=|f(x)|dx.
综上所述,面积A为
![]()
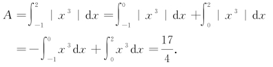
例1 求由曲线y=x3和直线x=-1,x=2以及x轴所围成的平面图形的面积(图7-22).

图7-22
解

MATLAB代码为:

按Enter得到结果为ans=17/4.
情形2:
设函数y=f(x),y=g(x)在区间[a,b]上连续,且g(x)≤f(x).
由曲线y=f(x),y=g(x)和直线x=a,x=b以及x轴所围成的曲边梯形(图7-23),它的面积A的微元是
dA=|f(x)-g(x)|dx,
面积


图7-23

图7-24
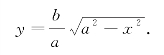
例2 求由曲线y=x2和x=y2所围成的平面图形的面积A(图7-24).
解 先求出曲线y=x2和x=y2的交点(0,0),(1,1).
取x为积分变量,积分区间为[0,1],面积微元为
,则所求的面积为
.
例3 求由曲线2x=y2和直线y=x-4所围成的平面图形的面积(图7-25).
解 先求出曲线2x=y2和直线y=x-4的交点(2,-2),(8,4).
选取y为积分变量,积分区间为[-2,4],面积微元为,则所求的
面积为
.

图7-25
若选取x为积分变量,积分表达式就比较复杂.读者不妨一试.
一般的,若平面图形是由区间[c,d]上的两条连续曲线x=φ(y)与x=ψ(y)及两条直线y=c与y=d所围成(图7-26),则面积为
![]()

图7-26

图7-27
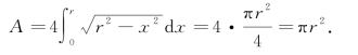
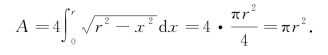
例4 求半径为r的圆的面积A(图7-27).
解 在直角坐标中,取圆心为坐标原点,半径为r的圆的方程是
x2+y2=r2.
根据圆的对称性及定积分的几何意义可得
![]()
解 MATLAB代码为:

按Enter得到结果为ans=(pi*r^2)/4/.

此题还可以考虑利用圆的参数方程
,应用定积分的换元法来解:令x=rcosθ,则y=rsinθ,dx=-rsinθdθ,
当x=0时,
;当x=r时,θ=0.所以

用MATLAB解:

按Enter得到结果为ans=(pi*r^2)/4.

一般地说,当曲边梯形的曲边由参数方程
给出时,面积为

这里t1及t2是对应于曲边的起点及终点的参数值.
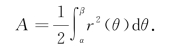
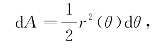
2.极坐标系下平面图形的面积
设曲线的极坐标方程为r=r(θ),r(θ)在区间[α,β]上连续,且r(θ)>0,求由曲线r=r(θ)与射线θ=α,θ=β所围成的曲边扇形(图7-28)的面积.

图7-28
在区间[α,β]上任取一小区间[θ,θ+dθ],设此小区间上的曲边扇形的面积为ΔA,则ΔA近似与半径为r(θ),圆心角为dθ的扇形面积,得到面积微元
![]()
从而曲边扇形的面积为

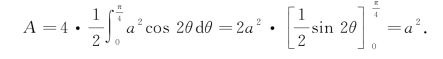
例5 求双纽线r2=a2cos2θ(a>0)围成的面积A(图7-29).

图7-29
解 在第一象限内曲线上点的极角θ由0变化到
.所以

例6 求心形线r=a(1+cosθ)(a>0)所围成的平面图形的面积(图7-30).
解
.
用MATLAB解:

按Enter得到结果为ans=(3*pi*a^2)/2.


图7-30
例7 求三叶玫瑰线r=acos3θ(a>0)所围成的平面图形的面积A(图7-31).
解 三叶玫瑰线围成的三个叶全等.面积A是阴影部分的6倍.所以

用MATLAB解:

图7-31

按Enter得到结果为ans=pi/12.

7.3.2.2 旋转体的体积
1.旋转体
旋转体就是由一个平面图形绕着平面内一条直线旋转一周所生成的立体.这条直线叫做旋转轴.
常见的旋转体:圆柱、圆锥、圆台、球体.
旋转体都可以看作是由连续曲线y=f(x)和直线x=a,x=b及x轴所围成的曲边梯形绕x轴旋转一周而成的立体(图7-32).
(https://www.daowen.com)
图7-32

图7-33
2.旋转体的体积
取积分变量为x,在区间[a,b]上任取一个小区间[x,x+Δx],以区间[x,x+Δx]为底的小曲边梯形绕x轴旋转一周生成的立体(图7-33),它的体积微元为
dV=π[f(x)]2dx.
则旋转体的体积为

例8 计算由椭圆
所成的图形绕x轴旋转一周而成的旋转体(旋转椭球体)的体积(图7-34).

图7-34
解 这个旋转椭球体也可以看作是由半个椭圆

及x轴围成的图形绕x轴旋转而成的立体.
体积元素为
dV=πy2dx.
于是所求旋转椭球体的体积为

当a=b时,旋转椭球体就成为半径为a的球体,它的体积为
.
用与上面类似的方法可以推出:由曲线x=φ(y),直线y=c,y=d(c<d)与y轴所围成的曲边梯形绕y轴旋转一周生成的旋转体(图7-35).它的体积微元为
dV=π[φ(y)]2dy.
则旋转体的体积为
![]()

图7-35
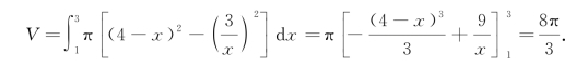
例9 计算由直线x+y=4与曲线xy=3所围成的图形绕x轴旋转一周而成的旋转体的体积(图7-36).
解 这个旋转体是两个旋转体的差,因为直线x+y=4与曲线xy=3的交点为A(1,3),B(3,1).体积元素为


图7-36
于是,所求旋转体的体积为

用MATLAB解:

按Enter得到结果为ans=8/3.
7.3.2.3 平面曲线的弧长
设AB是曲线弧上的两个端点,在弧AB上任取分点A=M0,M1,M2,…,Mi-1,Mi,…,Mn-1,Mn=B,并依次连接相邻的分点得一内接折线.当分点的数目无限增加且每个小段Mi-1Mi都缩向一点时,如果此折线的长
的极限存在,则称此极限为曲线弧AB的弧长.并称此曲线弧AB是可求长的.
1.直角坐标情形
设曲线弧由直角坐标方程
y=f(x)(a≤x≤b).
其中f(x)在区间[a,b]上具有一阶连续导数.现在来计算这曲线弧(图7-37)的长度.取横坐标x为积分变量,它的变化区间为[a,b].
曲线y=f(x)上相应于[a,b]上任一小区间[x,x+Δx]的一段弧的长度可以用该曲线在点(x,f(x))处的切线上相应的一小段的长度来近似代替,而切线上这相应的小段的长度为
![]()
从而得弧长元素(即弧微分)
![]()

图7-37
以
为被积表达式,在闭区间[a,b]作定积分,便得所求的弧长为

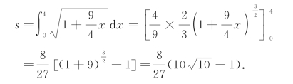
例10 计算曲线
(图7-38)上x从0到4的一段弧的长度.
解
![]()
从而弧长元素


图7-38
因此,所求弧长为

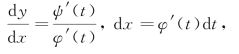
2.参数方程情形
设曲线弧由参数方程x=φ(t),y=ψ(t),(α≤t≤β)给出,其中φ(t),ψ(t)在[α,β]上具有连续导数.
因为

所以弧长元素为
.
所求弧长为

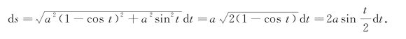
例11 计算摆线x=a(t-sint),y=a(1-cost)(图7-39)的一拱(0≤t≤2π)的长度.

图7-39
解 弧长元素为

所求弧长为

用MATLAB解:

按Enter得到结果为ans=4.
3.极坐标情形
设曲线弧由极坐标方程r=f(θ)(α≤θ≤β)给出,其中f(θ)在区间[α,β]上具有连续导数(图7-40).
由直角坐标与极坐标的关系可得
x=f(θ)cosθ,y=f(θ)sinθ(α≤θ≤β),

图7-40
于是,得弧长元素为
![]()
从而所求弧长为
![]()
课后提升
1.求下列各曲线所围成图形的面积.
(1)2y=x2与x=y-4;
(2)y=2x-x2与y=2x2-4x;
(3)y=x2,y=x,y=2x;
(4)y=x2,
,y=1.
2.求椭圆
的面积.
3.求阿基米德螺线r=aθ(a>0)上相应于θ从0到2π的一段的弧与极轴所围成的面积.
4.计算下列曲线的弧长.
(1)y2=x3,x=0到x=1;
(2)
到y=e.
5.计算下列曲线围成的区域绕x轴旋转所成旋转体的体积.
(1)y=x3,x=2,y=0;
(2)
.
6.求曲线y=lnx在[1,e]上绕x轴旋转一周所成旋转体的体积.
答案
