能力提升
2026年01月14日
能力提升
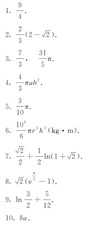
1.求曲抛物线y2=2x与直线2x+y-2=0所围平面图形的面积.
2.求曲线y=x2,y=2x2,y=1所围平面图形的面积.
3.求曲线y=x2与直线x=1,x=2及x轴所围成的平面图形的面积S及该平面图形绕x轴旋转一周所形成旋转体的体积V.
4.求曲线
所围成的平面图形绕x轴旋转一周所形成旋转体的体积.
5.求曲线y=x2,x=y2所围成的平面图形绕x轴旋转一周所形成旋转体的体积.
6.若沙的比重为2,要倒满一个半径为rm,高为hm的圆锥形沙堆,需做多少功?(https://www.daowen.com)
7.求曲抛物线y2=2x,自点(0,0)至点
的一段曲线弧长.
8.求曲线x=etsint,y=etcost,自t=0至t=1的一段曲线弧长.
9.求曲线rθ=1,自
至
的一段曲线弧长.
10.求曲线r=a(1+cosθ)的全长.
答案
