1.2  型未定式极限的计算方法

1.2 978-7-111-46013-8-Part03-45.jpg型未定式极限的计算方法

设limfx)=limgx)=∞,则称978-7-111-46013-8-Part03-46.jpg978-7-111-46013-8-Part03-47.jpg型未定式极限,它有以下两种计算方法:

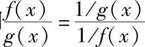
(1)利用978-7-111-46013-8-Part03-48.jpg,或变量代换将所给的978-7-111-46013-8-Part03-49.jpg型未定式极限978-7-111-46013-8-Part03-50.jpg转换成978-7-111-46013-8-Part03-51.jpg型未定式极限,然后按978-7-111-46013-8-Part03-52.jpg型未定式极限计算方法计算.特别当未定式的极限过程是x→+∞时,往往利用978-7-111-46013-8-Part03-53.jpgα是正数)可快捷获得计算结果.

(2)如果978-7-111-46013-8-Part03-54.jpg比较容易计算,则可用978-7-111-46013-8-Part03-55.jpg型洛必达法则计算978-7-111-46013-8-Part03-56.jpg型未定式极限978-7-111-46013-8-Part03-57.jpg

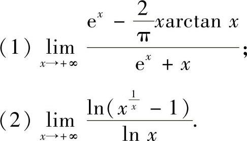
例1.4 计算下列极限:

978-7-111-46013-8-Part03-58.jpg

精解 (1)所给极限是978-7-111-46013-8-Part03-59.jpg型未定式极限.

978-7-111-46013-8-Part03-60.jpgx→+∞时,978-7-111-46013-8-Part03-61.jpg中的978-7-111-46013-8-Part03-62.jpg可以忽略,同样ex+x中的x可以忽略,所以

978-7-111-46013-8-Part03-63.jpg

(2)所给极限是978-7-111-46013-8-Part03-64.jpg型未定式极限.

978-7-111-46013-8-Part03-65.jpg

978-7-111-46013-8-Part03-66.jpg