数列极限存在准则的应用
当数列极限不易用运算法则和函数极限计算时,往往使用极限存在准则进行计算.
数列极限存在准则有以下两个:
数列极限存在准则Ⅰ 设数列{xn},{yn},{zn},如果它们满足yn≤xn≤zn(n=1,2,…),且
,则
注 在利用数列极限存在准则Ⅰ计算
时,可以通过适当缩小与放大xn,寻找数列{yn}与{zn}.
数列极限存在准则Ⅱ 设数列{xn}单调不减有上界或单调不增有下界,则
存在.
注 当{xn}由递推式x1,xn+1=f(xn)(n=1,2,…)定义时,往往使用这一准则,并且当证得
存在时,记其极限为A,对所给递推式两边令n→∞取极限得A=f(A).解此方程所得A的值,即为
的值.
例2.1 计算下列数列极限:
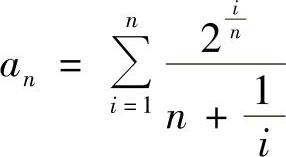
(1)
,其中
(2)
,其中
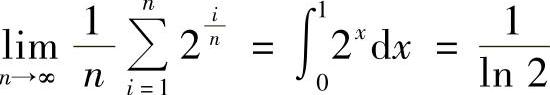
精解 (1)由于
不是某个函数的积分和式,现对它作适当缩小与放大得

并且
(由于
是函数2x在[0,1]上的积分和式)

所以由数列极限存在准则Ⅰ知

(2)容易看到

并且
(因为
是收敛的反常积分),所以,由数列极限存在准则Ⅰ知
例2.2 求下列极限:
(1)
,其中{xn}是由递推式0<x1<π,xn+1=sin xn(n=1,2,…)定义的数列;
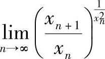
(2)
,其中{xn}是(1)中定义的数列.
精解 (1)由于{xn}是由递推式定义的,所以宜用数列极限存在准则Ⅱ求解.
由x1∈(0,π)知{xn}是正项数列(容易看到xn<1,n=2,3,…),(https://www.daowen.com)
xn+1=sin xn<xn(n=1,2,…),即{xn}单调减少有下界,所以由数列极限存在准则Ⅱ知
存在,记为A,则A∈[0,1).
在递推式xn+1=sinxn的两边令n→∞取极限得A=sinA.显然在[0,1)上该方程仅有解A=0.因此
=0.
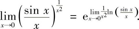
(2)由于

所以将上式右边的xn换为x,得1∞型未定式极限

其中

因此

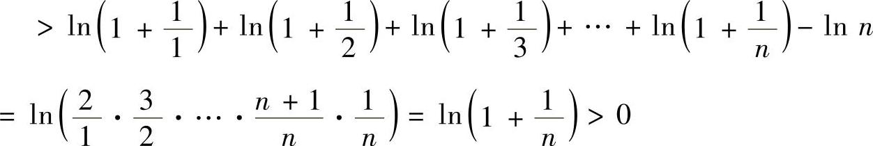
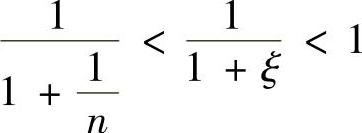
例2.3 (1)证明:对任意的正整数n,
成立;
(2)设
(n=1,2,…),证明数列{an}收敛.
精解 (1)由于ln(1+x)在
上满足拉格朗日中值定理条件,所以存在ξ∈
,使得
,即 
所以由
得

(2)现用数列极限存在准则Ⅱ证明{an}收敛.
对n=1,2,…,由

以及 

知{an}单调减少有下界.因此由数列极限存在准则Ⅱ知{an}收敛.