1.1 型未定式极限的计算方法
2026年01月14日
1.1
型未定式极限的计算方法
型未定式极限的计算方法
设limf(x)=limg(x)=0,则称
为
型未定式极限,它可按以下步骤计算:
(1)化简
常用的有以下五种方法:
a.消去f(x)与g(x)的公因子.
b.分子或分母有理化.
c.当x→x0(x0≠0)或x→∞时分别作变量代换t=x-x0或
d.由极限运算法则算出其中非未定式部分的极限.
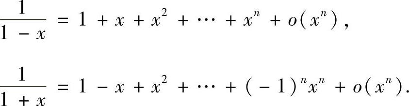
e.对f(x)与g(x)作等价无穷小代替,常用等价无穷小有:x→0时,sinx~x,tanx~x,arcsinx~x,arctanx~x,ln(1+x)~x,ex-1~x,(1+x)μ-1~μx(μ≠0),
通过如上化简后,使得
型未定式极限
变得十分简单,往往可以用极限运算法直接算出.
(2)如果
不易作如上所述的化简,则可考虑使用
型洛必达法则或对f(x)或g(x)应用麦克劳林公式,特别当f(x)或g(x)是积分上限函数时,必须首先应用洛必达法则,以消去积分运算.常用函数的麦克劳林公式是:x→0时,

,
’
,
’特别地,
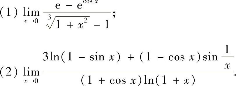
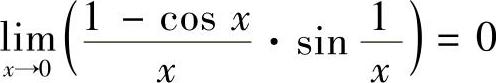
例1.1 计算下列极限:

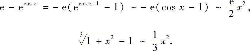
精解 (1)所给极限是
型未定式极限.由于x→0时,

所以,
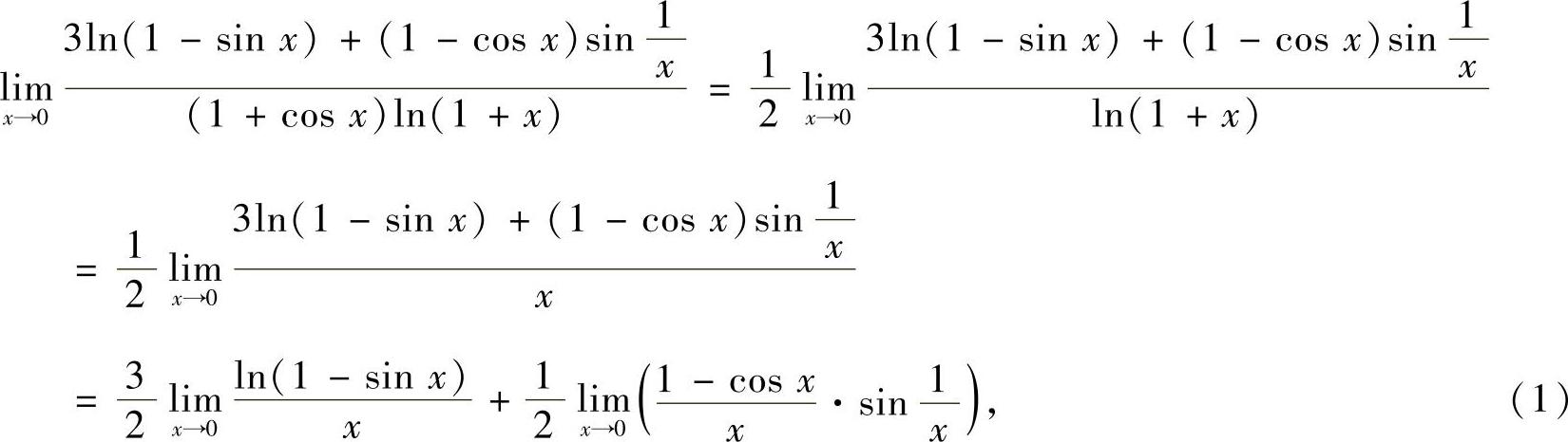
(2)所给极限是
型未定式极限.

其中
’
(由于x→0时
是无穷小,
在点x=0的去心邻域内有界).(https://www.daowen.com)
将它们代入式(1)得

例1.2 求下列极限:

精解 (1)所给极限是
型未定式极限.由于

所以

(2)所给极限是
型未定式极限.


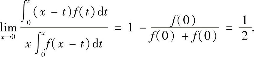
例1.3 计算下列极限.

精解 (1)所给极限是
型未定式极限.

(2)所给极限是
型未定式极限.

其中 
将式(2)代入式(1)得
