1.4 00,1∞及∞0型未定式极限的计算方法
2026年01月14日
1.4 0
0
,1
∞及
∞
0型未定式极限的计算方法
设limf(x)=limg(x)=0,则称lim[f(x)]g(x)为00型未定式极限,
设limf(x)=1,limg(x)=∞,则称lim[f(x)]g(x)为1∞型未定式极限,
设limf(x)=∞,limg(x)=0,则称lim[f(x)]g(x)为∞0型未定式极限.
这三种幂指函数型未定式极限都可按以下步骤计算:
(1)将幂指函数指数化,即[f(x)]g(x)=eg(x)lnf(x),则
lim[f(x)]g(x)=elimg(x)lnf(x);
(2)按0·∞型未定式极限计算方法计算limg(x)lnf(x),如果它为A,则
lim[f(x)]g(x)=eA.
例1.6 计算下列极限:(https://www.daowen.com)

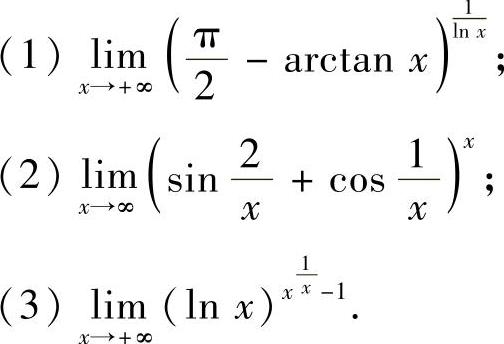
精解 (1)所给极限是00型未定式极限.

其中


所以 
(2)所给极限是1∞型未定式极限.

其中

所以

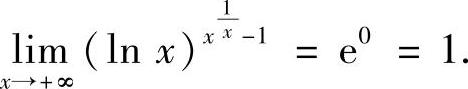
(3)所给极限是∞0型未定式极限.

其中

所以
