1.3  0·∞型和∞-∞型未定式极限的计算方法

1.3 0·∞型和 ∞-∞型未定式极限的计算方法

设limfx)=0,limgx)=∞,则称limfxgx)为0·∞型未定式极限.

设limfx)=∞,limgx)=∞,则称lim[fx)-gx)]为∞-∞型未定式极限.

这两种未定式极限可以利用代数运算或变量代换转换成978-7-111-46013-8-Part03-67.jpg型或978-7-111-46013-8-Part03-68.jpg型未定式极限,然后按相关方法计算.

例1.5 求下列极限:

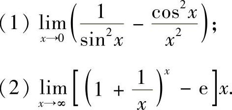
978-7-111-46013-8-Part03-69.jpg

精解 (1)所给极限是∞-∞型未定式极限.

978-7-111-46013-8-Part03-70.jpg

(2)所给极限是0·∞型未定式极限.

978-7-111-46013-8-Part03-71.jpg