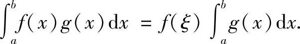
3.4 积分中值定理
设f(x)在[a,b]上连续,则存在ξ∈[a,b],使得
注 积分中值定理有以下的推广形式:
设f(x)在[a,b]上连续,g(x)在[a,b]上可积且为正值,则存在ξ∈[a,b],使得

例3.1 已知函数f(x)在[0,1]上连续,在(0,1)内可导,且f(0)=0,f(1)=1,证明:
(1)存在ξ∈(0,1),使得f(ξ)=1-ξ;
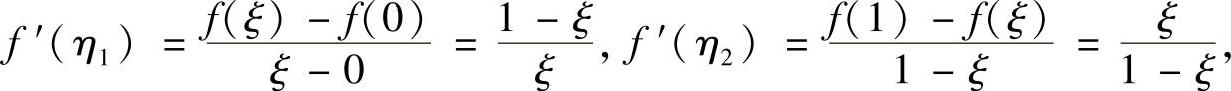
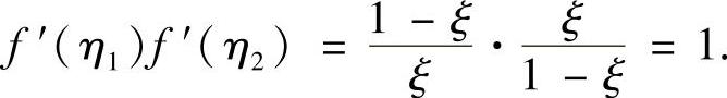
(2)存在不同的两点η1,η2∈(0,1),使得f′(η1)f′(η2)=1.
精解 (1)记F(x)=f(x)-1+x,则F(x)在[0,1]上连续,且
F(0)F(1)=(-1)×1=-1<0,所以,由零点定理知存在ξ∈(0,1),使得F(ξ)=0,即f(ξ)=1-ξ.
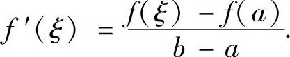
(2)ξ将[0,1]划分成两个小区间[0,ξ]和[ξ,1],且f(x)在这两个小区间上都满足拉格朗日中值定理条件,所以由拉格朗日中值定理知,存在η1∈(0,ξ)和η2∈(ξ,1),使得

所以,存在不同的两点η1,η2∈(0,1),使得

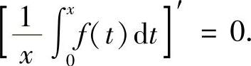
例3.2 设函数f(x)在[0,1]上连续,且f(0)=0及
0.证明:存在ξ∈(0,1),使得
).
精解 将欲证等式中的ξ改为x得

当x∈(0,1]时,上式可以改写成
,即
由此得
故作辅助函数

显然,F(x)在[0,1]上连续,在(0,1)内可导,且F(1)=F(0)(=0).所以由罗尔定理知,存在ξ∈(0,1),使得F′(ξ)=0,即
例3.3 设函数f(x)在[0,2]上连续,在(0,2)内二阶可导.证明下列问题:
(1)当f(x)满足f(0)=f(2)=0,f+′(0)f-′(2)>0时,存在ξ∈(0,2),使得f″(ξ)=0.
(2)当f(x)满足
和
时,存在η∈(0,2),使得f″(η)=0.
精解 (1)由题设f+′(0)f-′(2)>0可设f+′(0)>0,f-′(2)>0(当f+′(0)<0,f-′(2)<0同样可证).于是由左、右导数的定义得

由此可知,存在x1,x2∈(0,2)(x1<x2),使得
f(x1)>f(0)=0,f(x2)<f(2)=0.
于是由零点定理知,存在x3∈(x1,x2)⊂(0,2),使得f(x3)=0.(https://www.daowen.com)
由此可知,f(x)在[0,2]上连续,在(0,2)内二阶可导,且f(0)=f(x3)=f(2)(0<x3<2),于是分别在[0,x3]和[x3,2]上应用罗尔定理知,存在ξ1∈(0,x3)和ξ2∈(x3,2),使得f′(ξ1)=f′(ξ2)=0.
由于f′(x)在[ξ1,ξ2]上满足罗尔定理条件,因此存在ξ∈(ξ1,ξ2)⊂(0,2),使得f″(ξ)=0.
(2)由题设
得
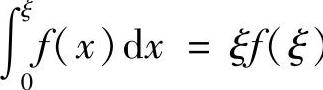
另外,由积分中值定理知,存在
,使得
.由题设
得f(x1)=f(2).于是,f(x)在[x1,2]上满足罗尔定理条件,所以存在
,使得f′(η1)=0.
由此可知,f′(x)在
上连续,在
内可导,且
,所以由罗尔定理知,存在
,使得f″(η)=0.
例3.4 设函数φ(x)具有二阶导数,且满足φ(2)>φ(1),
,证明:存在ξ∈(1,3),使得φ″(ξ)<0.
精解 由于φ(x)在[1,2]上可导,所以由拉格朗日中值定理知,存在ξ1∈(1,2),使得φ(2)-φ(1)=φ′(ξ1)(2-1).由φ(2)>φ(1)得φ′(ξ1)>0.
由积分中值定理知存在x1∈[2,3],使得
.于是由题设知φ(2)>φ(x1)(由此可知2<x1).φ(x)在[2,x1]上可导,由拉格朗日中值定理知存在ξ2∈(2,x1),使得
φ(x1)-φ(2)=φ′(ξ2)(x1-2),所以,由φ(2)>φ(x1),2<x1得φ′(ξ2)<0.
在[ξ1,ξ2]上,φ′(x)可导,所以由拉格朗日中值定理知存在ξ∈(ξ1,ξ2)⊂(1,3),使得φ′(ξ2)-φ′(ξ1)=φ″(ξ)(ξ2-ξ1),即

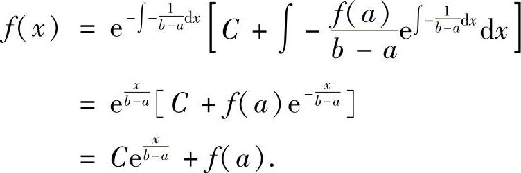
例3.5 设函数f(x)在[a,b]上有连续的导数,且存在c∈(a,b),使得f′(c)=0.证明:存在ξ∈(a,b),使得

精解 先将欲证等式中的ξ换成x得

显然这个以f(x)为未知函数的一阶线性微分方程的通解为

即
,所以作辅助函数

显然F(x)在[a,b]上可导,且F(a)=0.当F(c)=0时,F(x)在[a,c]上满足罗尔定理条件,所以存在ξ∈(a,c)⊂(a,b),使得f′(ξ)=0.
下面证明在F(c)≠0时也存在使得f′(ξ)=0的ξ.
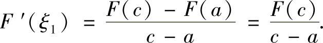
当F(c)≠0时,F(x)在[a,c]上满足拉格朗日中值定理条件,因此,存在ξ1∈(a,c),使得

在[ξ1,c]上,f′(x)连续,且

所以,由零点定理知,存在ξ∈(ξ1,c)⊂(a,b),使得F′(ξ)=0.
综上所述,不论F(c)=0还是F(c)≠0,都存在ξ∈(a,b),使得F′(ξ)=0,即
