4.1  换元积分法

4.1 换元积分法

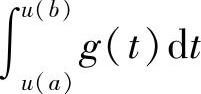
如果978-7-111-46013-8-Part03-162.jpg,则作变量代换t=ux)得978-7-111-46013-8-Part03-163.jpg,当它容易计算时,就算得978-7-111-46013-8-Part03-164.jpg

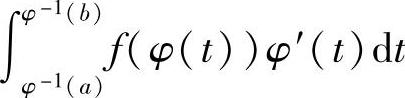
如果978-7-111-46013-8-Part03-165.jpg不能作上述处理时,则作适当的变量代换x=φt),使得978-7-111-46013-8-Part03-166.jpg978-7-111-46013-8-Part03-167.jpg,因此当右边定积分较易计算时,就可算出978-7-111-46013-8-Part03-168.jpg

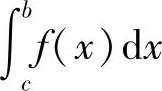
此外,有时对978-7-111-46013-8-Part03-169.jpg作适当的变量代换,得到关于I的一个方程,解此方程得到978-7-111-46013-8-Part03-170.jpg的值;或者将978-7-111-46013-8-Part03-171.jpg表示成978-7-111-46013-8-Part03-172.jpg,对其中一个,例如∫cfx)dx作变量代换而产生一个新的定积分与978-7-111-46013-8-Part03-173.jpg抵消,从而算出978-7-111-46013-8-Part03-174.jpg