4.3 利用奇、偶函数和周期函数的定积分性质计算
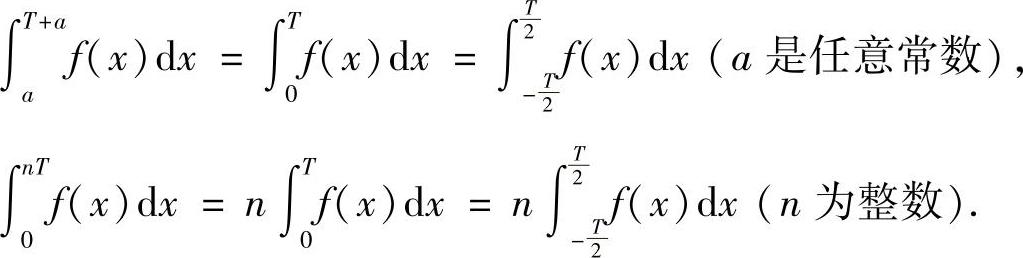
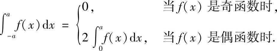
设f(x)是[-a,a]上的连续函数,则

设f(x)是连续函数,且以T(T>0)为周期的周期函数,则

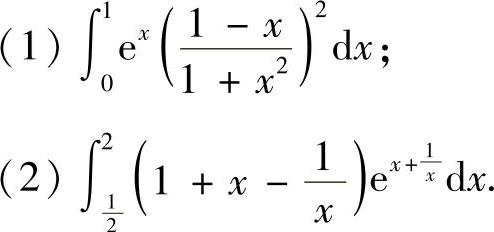
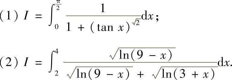
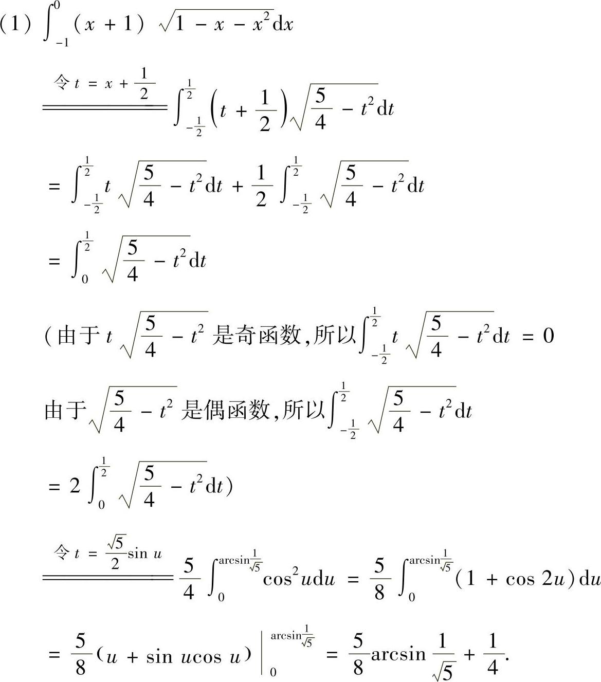
例4.1 求下列定积分:

精解 



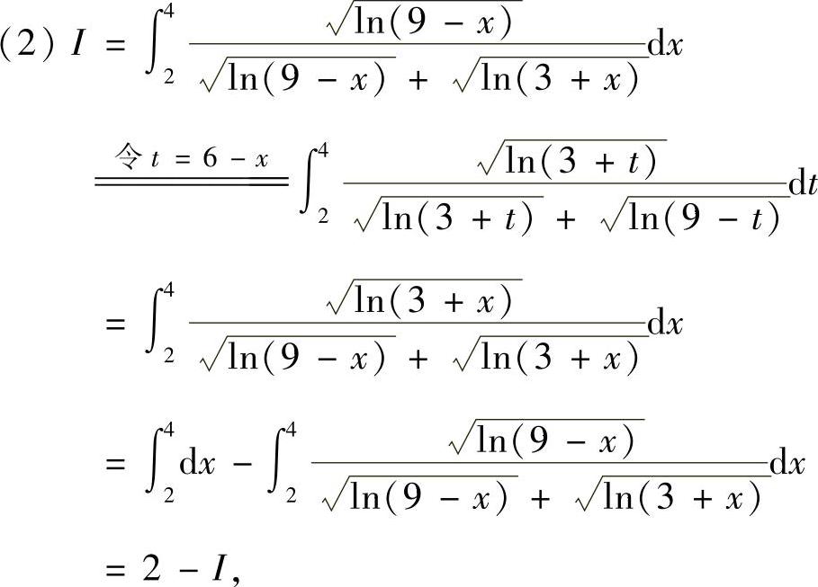
例4.2 求下列定积分:

精解 


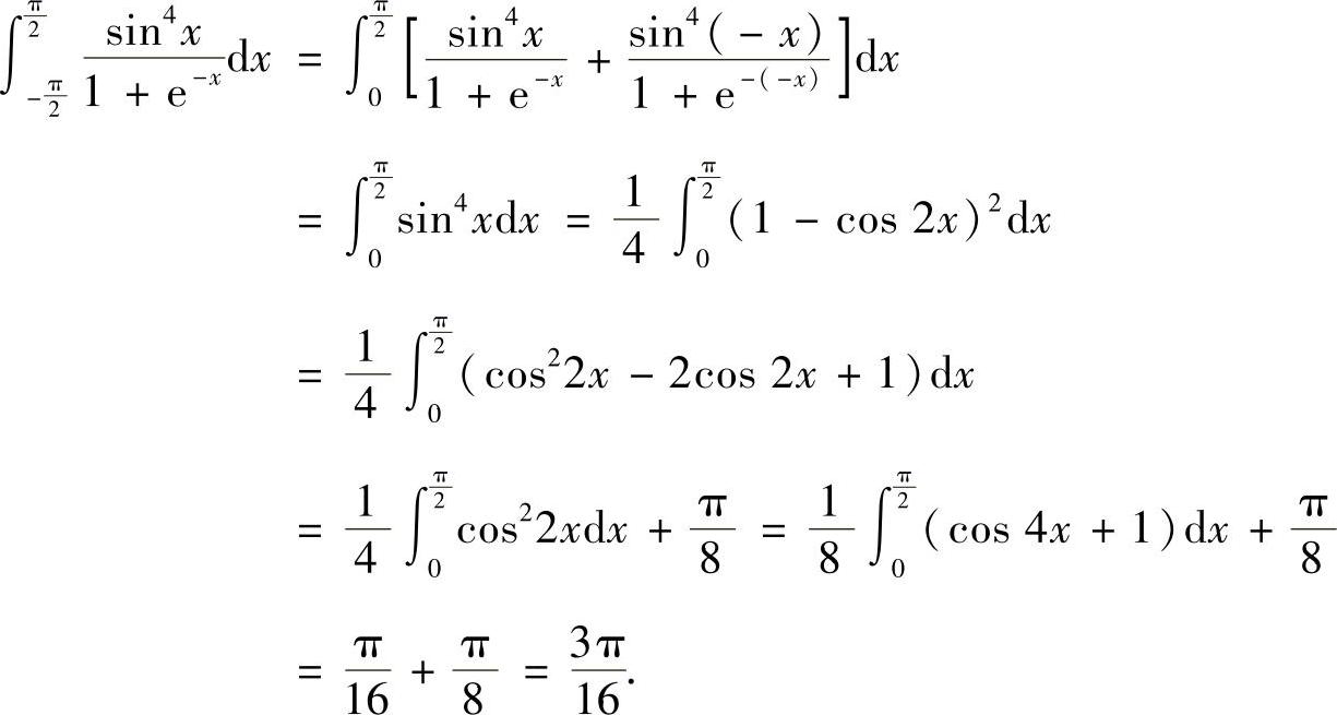
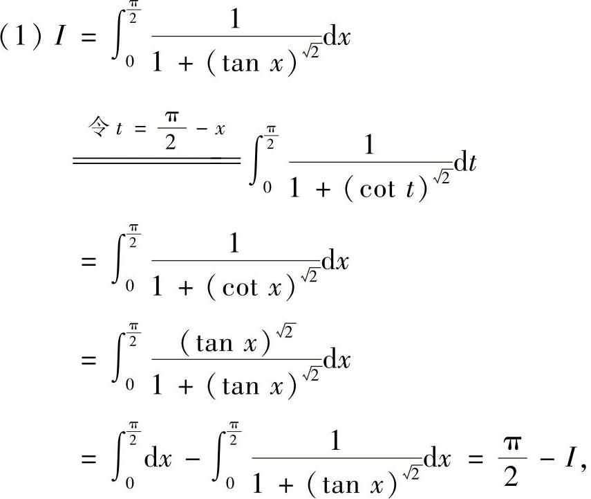
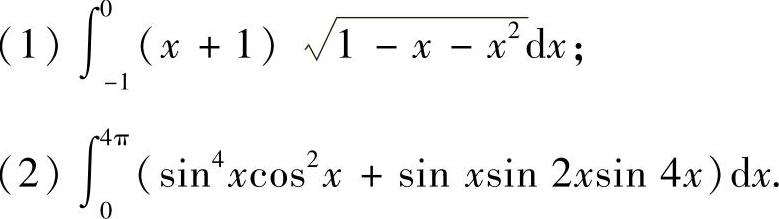
例4.3 求下列定积分:

精解
,即
,所以
(https://www.daowen.com)

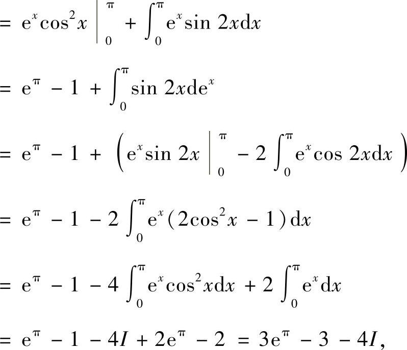
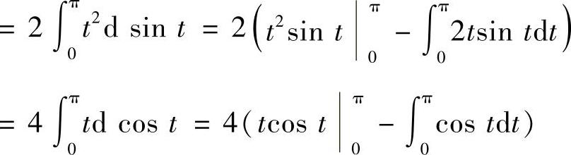
即 I=2-I.所以I=1.例4.4 计算定积分
精解 

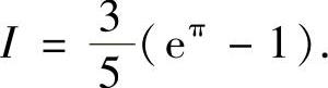
即I=3eπ-3-4I.所以
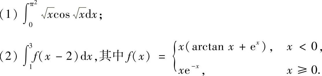
例4.5 计算下列定积分:

精解 

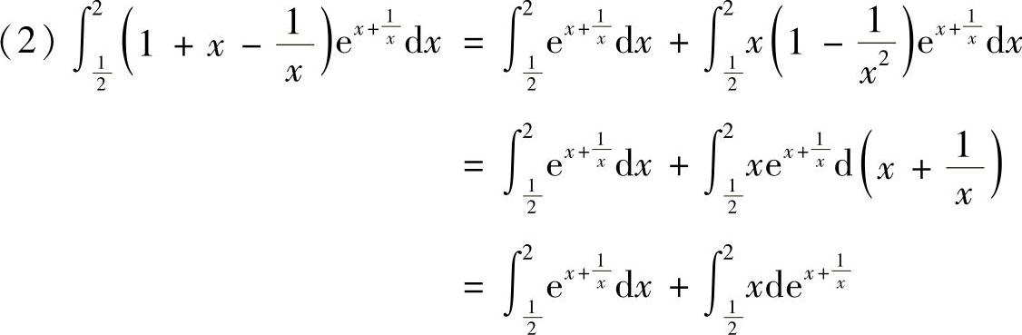
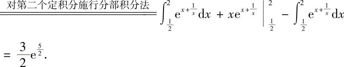
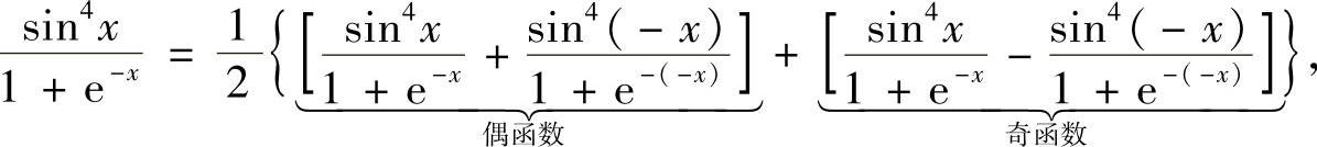
例4.6 计算定积分
精解 积分区间是对称的,但被积函数是非奇非偶函数,因此将它表示为

所以
