二重积分的计算
设f(x,y)是有界闭区域D上的连续函数,则二重积分
可按以下步骤计算:
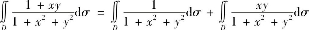
(1)画出D的简图,根据D的对称性,化简
:
当D具有某种对称性时,如果f(x,y)在对称点处的值互为相反数,则
;如果f(x,y)在对称点处的值彼此相等,则
(其中D1是D按对称性划分成的两部分之一).
记化简后的二重积分仍为
(2)根据D将二重积分转换成二次积分:
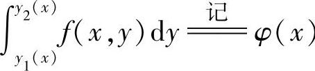
如果D={(x,y)|y1(x)≤y≤y2(x),a≤x≤b}(X型),则

如果D={(x,y)|x1(y)≤x≤x2(y),c≤y≤d}(Y型),则

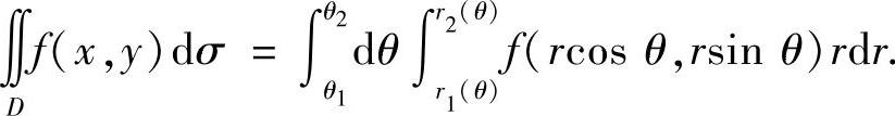
如果D是以原点为顶点的角域{(r,θ)|r1(θ)≤r≤r2(θ),0≤θ1≤θ≤θ2≤2π},用极坐标计算,此时

如果D不是上述三种形式的积分区域,则用若干条与y轴平行的直线(或与x轴平行的直线,或从原点出发的射线)将D划分成若干小块,使每一块为Y型(或X型,或角域),然后把每一小块上的二重积分化为二次积分.
(3)计算二次积分
例如,对于
,先将x看做[a,b]上的某个固定点计算定积分
,然后再计算定积分
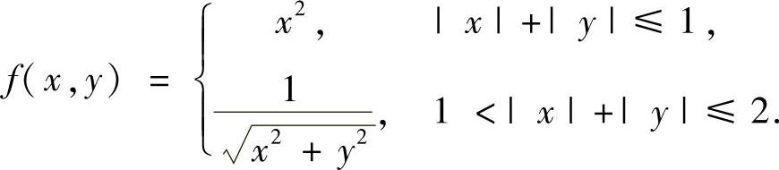
例5.1 计算下列二重积分:
(1)
,其中D={(x,y)0≤x≤2,0≤y≤2};
(2)
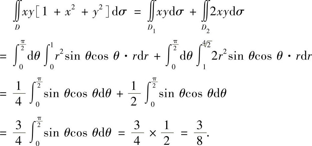
,其中D={(x,y)|x|+|y|≤2,x≥0,y≥0}及

精解 (1)曲线xy=1将D分成D1与D2两部分(如图C.5.1所示),并且,在D上

所以


图 C.5.1
(2)用直线x+y=1将D划分成D1与D2两部分(如图C.5.2所示),则


(https://www.daowen.com)
图 C.5.2
例5.2 计算下列二重积分:
(1)
,其中D={(x,y)x2+y2≤1,x≥0};
(2)
,其中
,x>0,y>0},[u]表示不超过u的最大整数;
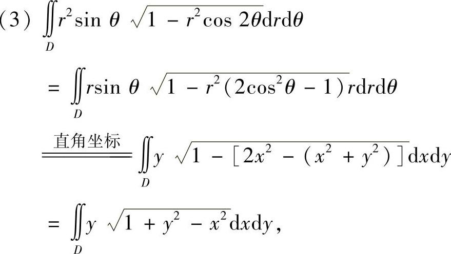
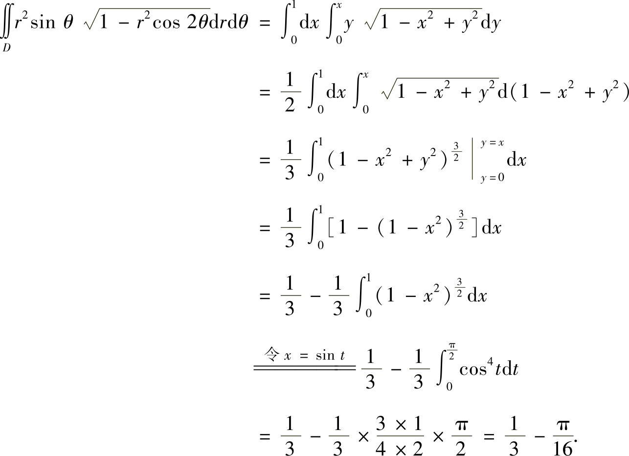
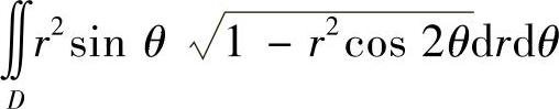
(3)
,其中D={(r,θ)0≤r≤secθ,
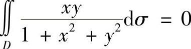
精解 (1)
,其中
’
(由于D关于x轴对称,
在对称点处的值互为相反数).因此

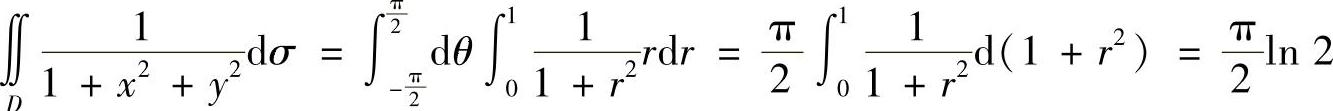
(2)用圆x2+y2=1将D划分成D1={(x,y)|x2+y2<1,x>0,y>0}与
,则在D上,
所以


图 C.5.3

其中 
(如图C.5.3阴影部分所示),所以

例5.3 计算下列二重积分:
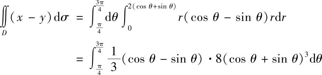
(1)
,其中D={(x,y)|(x-1)2+(y-1)2≤2,y≥x};
(2)
,其中D={(x,y)|0≤x≤2,-1≤y≤1}.
精解 (1)D如图C.5.4阴影部分所示,它是角域的一部分,所以用极坐标计算所给的二重积分:


图 C.5.4

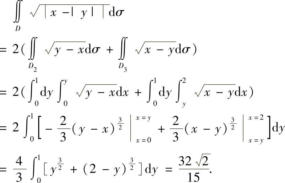
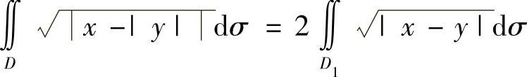
(2)由于D关于x轴对称,
在对称点处的值彼此相等,所以
,其中
是D的上半平面部分,如图C.5.5.用直线y=x将D1划分成D2与D3两部分(其中D2,D3分别位于直线y=x的上方与下方),则


图 C.5.5