矩阵的特征值与特征向量的计算
设A是n阶矩阵,则A的特征值是方程|λE-A|=0(E是n阶单位矩阵)的根,而(λE-A)x=0的非零解是A的对应特征值λ的特征向量.
A的特征值与特征向量有以下性质:
(1)对应A的不同特征值的特征向量线性无关.
(2)A的特征值λ1,λ2,…,λn之和为trA,之积为|A|.
(3)设λ,ξ分别是A的特征值及其对应的特征向量,则f(A)有特征值f(λ)及其对应的特征向量ξ,其中f(λ)是λ的多项式.
(4)当A可逆时,A的特征值全不为零.设λ,ξ分别是A的特征值及其对应的特征向量,则A-1有特征值
及其对应的特征向量ξ;A∗有特征值
及其对应的特征向量ξ.
(5)当λ,ξ分别是A的特征值及其对应的特征向量,则P-1AP有特征值λ及其对应的特征向量P-1ξ.
利用特征值与特征向量的性质,往往能快捷地计算矩阵式的特征值与特征向量.
例10.1 设3阶矩阵A满足|A-2E|=0,|A+2E|=0,|2A-3E|=0(E是三阶单位矩阵),求A的行列式.
精解 由|A-2E|=0,即|2E-A|=0得2是A的特征值.
由|A+2E|=0,即|-2E-A|=0得-2是A的特征值.由|2A-3E|=0,即
得
是A的特征值.
由此算得三阶矩阵A的3个特征值,所以

例10.2 已知二阶矩阵A及2维列向量x满足A2x+2Ax-3x=0,且x与Ax线性无关,求A的全部特征值与特征向量.
精解 由题设A2x+2Ax-3x=(A+3E)(A-E)x(E是二阶单位矩阵)
=(-3E-A)(x-Ax)
=(E-A)(-Ax-3x)
=0
知,二阶矩阵A的特征值为λ=-3,1,并且由x与Ax线性无关知x-Ax≠0,所以对应λ=-3的特征向量为C1(x-Ax);同理可知-Ax-3x≠0,所以对应λ=1的特征向量为C2(-Ax-3x),其中C1,C2都是任意非零常数.
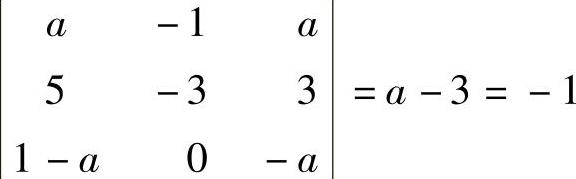
例10.3 设矩阵
,
,B=P-1A∗P,求B+2E的特征值与特征向量,其中A∗是A的伴随矩阵,E是三阶单位矩阵.
精解 由
知A的特征值为λ=7,1(二重).
设对应λ=7的特征向量为α1=(x1,x2,x3)T,则α1满足

由于

所以
α1=C1(1,1,1)T=(C1,C1,C1)T(C1是任意非零常数).
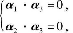
设对应λ=1的特征向量为α2=(y1,y2,y3),则由A是实对称矩阵知
α2·α1=0,即 y1+y2+y3=0,所以
α2=C2(-1,1,0)T+C3(-1,0,1)T=(-C2-C3,C2,C3)T(C2,C3是不全为零的任意常数).
于是A∗的特征值为
,
(二重)对应的特征向量分别为α1,α2.
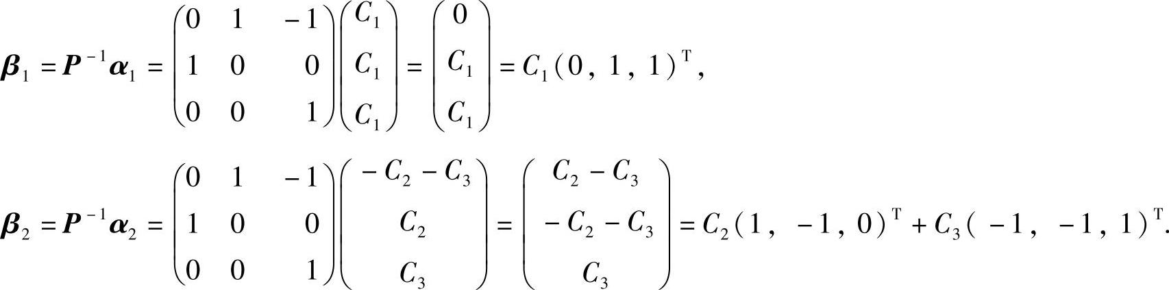
由此可得B的特征值为μ=1,7(二重),对应的特征向量分别为(https://www.daowen.com)

因此 B+2E的特征值ν=1+2=3,7+2=9(二重),对应的特征向量分别为
β1=C1(0,1,1)T,β2=C2(1,-1,0)T+C3(-1,-1,1)T.
例10.4 设矩阵
,其行列式|A|=-1,又伴随矩阵A∗有一个特征值λ,属于λ的特征向量α=(-1,-1,1)T,求a,b,c,λ的值.
精解 由题设可知,
是A的特征值,其对应的特征向量为α,所以有
(E是三阶单位矩阵),
即

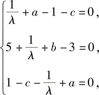
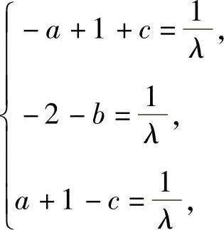
由此得到

化简后得

即 a=c,b=-3,λ=1.
再由|A|=-1,即
,得a=c=2.因此所求的a=2,b=-3,c=2,λ=1.
例10.5 设A是三阶实对称矩阵.
(1)当秩r(A)=2,且
时,求A的所有特征值与特征向量;
(2)当A的各行元素之和均为3,且向量α1=(-1,2,-1)T,α2=(0,-1,1)T是线性方程组Ax=0的两个解时,求A的所有特征值与特征向量.
精解 (1)由题设得

所以A有特征值λ=-1,1,它们对应的所有特征向量分别为
C1-α1=C1(1,0,-1)T,C2α2=C2(1,0,1)T.
其中,C1,C2都是任意非零常数.
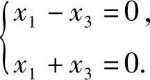
由于r(A)=2,即|A|=0,所以A还有一个特征值为0,设它对应的特征向量为α3=(x1,x2,x3)T,则由A是实对称矩阵知
即
由此得到α3=C3(0,1,0)T(C3是任意非零常数).
(2)由A的各行元素之和均为3知,
,即A有特征值λ=3,其对应的特征
向量为ξ1=C1(1,1,1)T(C1是任意非零常数).由α1、α2是Ax=0的两个解,知
Aα1=0·α1,Aα2=0·α2,
即A有特征值λ=0(二重,这是因为α1、α2线性无关),且其对应的特征向量为
ξ2=C2α1+C3α2=(-C2,2C2-C3,-C2+C3) (其中C2,C3是任意不全为零的常数).