11.2 二次型化规范形
将二次型f(x1,x2,…,xn)=xTAx化规范形的步骤如下:
(1)将二次型f化为标准形,设为f=c1y21+c2y22+…+cny2n.
(2)当c1>0时,令
;当c1<0时,令
;当c1=0时,令z1=y1.对其余变量也同样考虑.如此即得f的规范形
z21+z22+…+zp2-zp2+1-zp2+2-…-zp2+q+0·zp2+q+1+…+0·z2n.
其中p称为f的正惯性指数,q称为f的负惯性指数,显然p+q=r(A).
惯性定理 任意二次型f(x1,x2,…,xn)=xTAx总可以经过适当的可逆线性变换化成规范形,其规范形是唯一的,与所选的可逆线性变换无关,即正平方项个数p,负平方项个数q由f唯一确定.
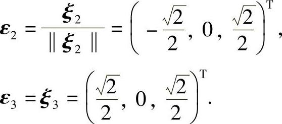
例11.1 已知二次型f(x1,x2,x3)=xTAx(x=(x1,x2,x3)T,A是三阶实对称矩阵),在正交变换x=Qy(y=(y1,y2,y3)T,Q是正交矩阵)下的标准形为y21+y22,且Q的第3列为
,求f(x1,x2,x3).
精解 实际上只要算出A即可.
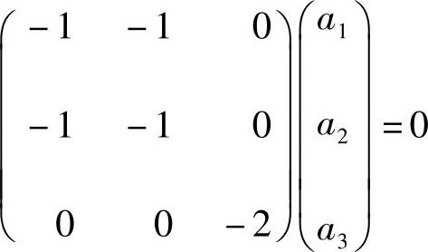
由题设知A有特征值为λ=1(二重)和λ=0,且对应λ=0的特征向量为ξ3=
,于是由A是实对称矩阵知,对应λ=1的特征向量α=(a,b,c)T应满足
ξ3·α=0,即
从而可取α=ξ1=(0,1,0)T和α=ξ2=(-1,0,1)T.
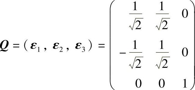
显然ξ1,ξ2,ξ3两两正交,现将它们单位化:
ε1=ξ1=(0,1,0)T,

于是
(正交矩阵),并且

从而

所以所求的
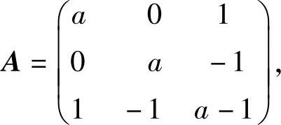
例11.2 设二次型f(x1,x2,x3)=ax21+ax22+(a-1)x23+2x1x3-2x2x3.
(1)求f的矩阵的所有特征值;
(2)若f的规范形为y21+y22,求a的值.
精解 (1)由于f的矩阵为

所以由

得A的特征值为a-2,a,a+1(由小到大排列).
(2)由f的规范形是y21+y22,所以A有两个正特征值和一个零特征值,从而a-2=0,即a=2.
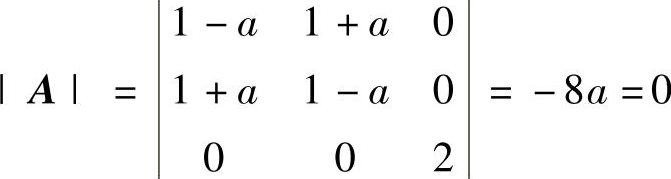
例11.3 已知二次型f(x1,x2,x3)=(1-a)x21+(1-a)x22+2x23+2(1+a)x1x2的秩为2.
(1)求a的值;
(2)求正交变换x=Qy,把f(x1,x2,x3)化为标准形;
(3)求方程f(x1,x2,x3)=0的解.
精解 (1)f的秩即为它的矩阵
的秩,所以由题设知r(A)=2.从而
,由此得到a=0.
(2)将a=0代入A得

记三阶单位矩阵为E,则由

得A的特征值为λ=0,2(二重).
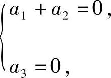
记对应λ=0的特征向量为ξ1=(a1,a2,a3)T,则它满足(https://www.daowen.com)
,即
所以可取ξ1=(1,-1,0)T.
设对应λ=2的特征向量为ξ2=(b1,b2,b3)T,则由A是实对称矩阵知
ξ1·ξ2=0,即b1-b2=0,
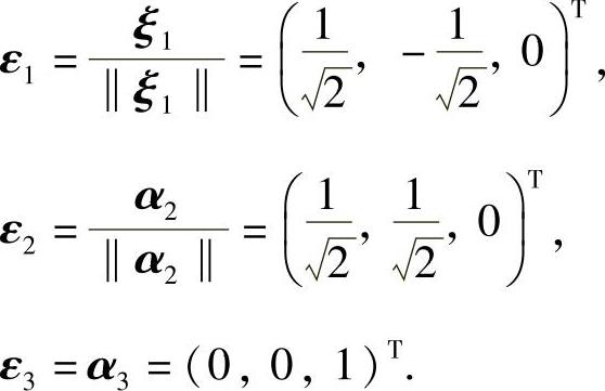
所以可以取ξ2=α2=(1,1,0)T,ξ3=α3=(0,0,1)T.
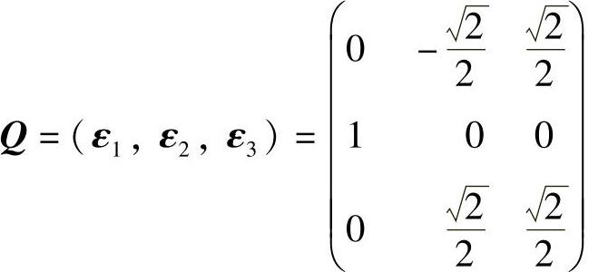
显然,ξ1,α2,α3两两正交,现将它们单位化:

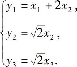
记
(正交矩阵),则x=Qy(其中y=(y1,y2,y3)T)将f(x1,x2,x3)化为标准形,即f=2y22+2y23.
(3)由(2)知f(x1,x2,x3)=0即为2y22+2y23=0.由此得到
y1=k(任意常数),y2=y3=0.因此由

得f(x1,x2,x3)=0的解为x1=c,x2=-c,x3=0
这里

例11.4 设二次型f(x1,x2,x3)=x21+x22+x23+2αx1x2+2βx2x3+2x1x3.
(1)经正交变换x=Qy(其中x=(x1,x2,x3)T,y=(y1,y2,y3)T,Q是正交矩阵)化成标准形f=y22+2y23,求常数α,β;
(2)经可逆线性变换x=Py(其中P是可逆矩阵)化为标准形f=y22+2y23,求常数α,β.
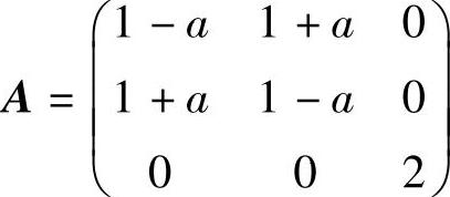
精解 记f=x21+x22+x23+2αx1x2+2βx2x3+2x1x3的矩阵为A,则

(1)经正交变换x=Qy后f=y22+2y23知A有特征值λ=0,1,2.于是有

其中E是三阶单位矩阵.
由式(1)得(α-β)2=0,即α=β.
由式(2)
(这里已把β=α代入)得α=0.
因此所求的α,β均为零.
(2)经过可逆线性变换x=Py后f=y22+2y23知A的秩为2(此时,A未必有特征值λ=0,1,2).于是对A施行初等变换

知 β-α=0且1-α2≠0,即α=β,但它们都不能为-1及1.
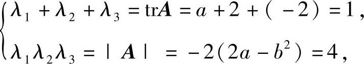
例11.5 设二次型f(x1,x2,x3)=ax21+2x22-2x23+2bx1x2(b>0)经正交变换x=Qy(其中x=(x1,x2,x3)T,y=(y1,y2,y3)T,Q是3阶正交矩阵)后化为标准形f=λ1y21+λ2y22+λ3y23,其中λ1+λ2+λ3=1,λ1λ2λ3=-4.
(1)求常数a,b的值;
(2)用可逆线变换将f(x1,x2,x3)化为规范形,并求出这个可逆线性变换.
精解 (1)f的矩阵
,λ1,λ2,λ3是它的特征值,于是由题设知

由此可得a=1,b=2(利用b>0).
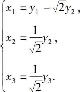
(2)将a=1,b=2代入f(x1,x2,x3),并对它配方得
f(x1,x2,x3)=x21+2x22-2x23+4x1x2
=(x21+4x1x2+4x22)-2x22-2x23
=(x1+2x2)2-2x22-2x23.
于是令
则f(x1,x2,x3)=y21-y22-y23(规范形),并且所求的可逆线性变换为
