9.2 非齐次线性方程组解的结构
设A是m×n矩阵,b是m维非零列向量(称A=[A︙b]为增广矩阵),则
(1)当r(A)>r(A)时,非齐次线性方程组Ax=b无解.
(2)当r(A)=r(A)=n时,非齐次线性方程组Ax=b有唯一解.
(3)当r(A)=r(A)<n时,非齐次线性方程组Ax=b有无穷多解,此时通解为x=C1η1+C2η2+…+Cn-rηn-r+x∗(其中η1,η2,…,ηn-r是Ax=b的导出组Ax=0的基本解系,r=r(A),x∗是Ax=b的一个特解,C1,C2,…,Cn-r是任意常数).
例9.1(单项选择题) 设A是m×n矩阵,B是n×m矩阵,则对线性方程组(AB)x=0,下列结论必成立的是
(A)当n>m时,仅有零解.(B)当n>m时,必有非零解.
(C)当m>n时,仅有零解.(D)当m>n时,必有非零解.
[ ]
精解 (AB)x=0是m元齐次线性方程组.因为r(AB)≤min{m,n},所以m>n时,r(AB)≤n<m.从而(AB)x=0必有非零解.
因此本题选(D).
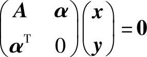
例9.2(单项选择题) 设A是n阶矩阵,α是n维列向量.若秩
,则线性方程组
(A)Ax=α必有无穷多个解.(B)Ax=α必有唯一解.
(C)
仅有零解.(D)
必有非零解.
[ ]
精解 由于题设中给出
,所以从考虑
入手.
由于
是n+1元齐次线性方程组.于是由
知
必有非零解.
因此本题选(D).
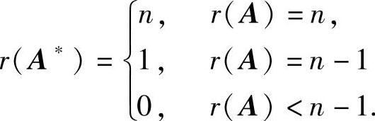
例9.3(单项选择题) 设n阶矩阵A的伴随矩阵A∗≠O,若ξ1,ξ2,ξ3,ξ4是非齐次线性方程组Ax=b的四个互不相等的解,则对应的齐次线性方程组Ax=0的基础解系
(A)不存在.(B)仅含一个非零解向量.
(C)含有两个线性无关的解向量.(D)含有三个线性无关的解向量.
[ ]
精解 由于ξ2-ξ1,ξ3-ξ1,ξ4-ξ1都是Ax=0的解,所以r(A)≤n-1.于是由
,知r(A∗)=1(由于A∗≠O知r(A∗)≠0),所以r(A)=n-1.从而Ax=0的基础解系中仅含一个非零解向量.
因此本题选(B).
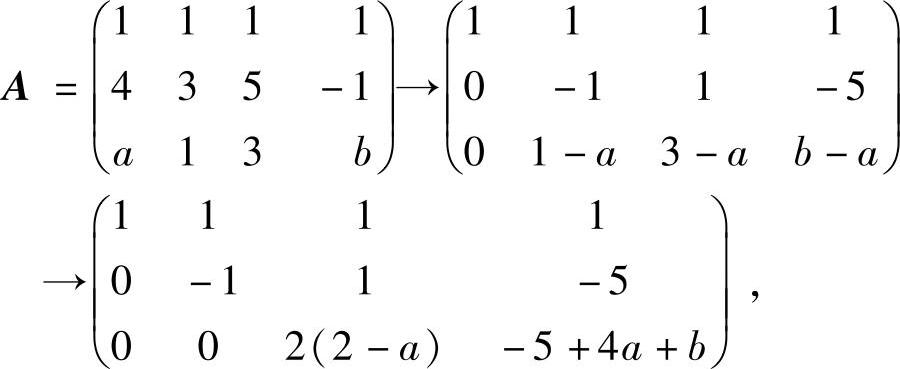
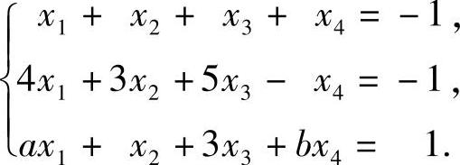
例9.4 (1)已知非齐次线性方程组
(https://www.daowen.com)
有三个线性无关的解.证明方程组的系数矩阵A的秩r(A)为2,并求a,b的值.
(2)设三阶矩阵B≠O,且它的列向量都是齐次线性方程组

的解,求λ的值,并证明|B|=0.
精解 (1)由于所给的非齐次线性方程组有三个线性无关的解,记为ξ1,ξ2,ξ3,则ξ2-ξ1,ξ3-ξ1都是导出组的解,且线性无关,即导出组的基础解系中至少含有两个解向量,于是有
r(A)≤4-2=2.
此外,由所给方程组知r(A)≥2.因此r(A)=2.
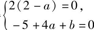
对A施行初等行变换:

于是由r(A)=2得
{,解此方程组得a=2,b=-3.
(2)由于B≠O的列向量是所给的齐次线性方程组之解,所以该齐次线性方程组有非零解,从而r(A)<3,即|A|=0(其中,A是所给齐次线性方程组的系数矩阵).
由于
,所以λ=1.
当λ=1时,
即r(A)=2.因此所给方程组的基础解系中只包含一个解向量,从而B的列向量组线性相关,因此|B|=0.
例9.5 已知3阶矩阵A的第1行是(a,b,c),a,b,c不全为零,矩阵
(k为常数),且AB=O,求线性方程组Ax=0的通解.
精解 由AB=O知,B的每一个列向量都是Ax=0的解.
由AB=O得 r(A)+r(B)-3≤0,即r(A)+r(B)≤3.
(1)当k≠9时,r(B)=2,所以r(A)≤1,但A的第1行是非零行,所以r(A)≥1.从而r(A)=1.由此可知Ax=0的通解
x=C1(1,2,3)T+C2(3,6,k)T(C1,C2是任意常数).
(2)当k=9时,r(B)=1,所以r(A)=2或1.
当r(A)=2时,通解为x=C(1,2,3)T(C为任意常数).当r(A)=1时,

此时Ax=0与方程ax1+bx2+cx3=0同解(其中x=(x1,x2,x3)T),设a≠0(当b或c不为零时也可同样考虑),因此此时的通解
(其中C3,C4是任意常数).