习题1.6

习题1.6

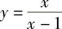
1.直观判断下列函数中的变量,当x趋向于何值时是无穷小;当x趋向于何值时是无穷大:

1)978-7-111-33187-2-Chapter01-399.jpg;2)y=ln(1+x).

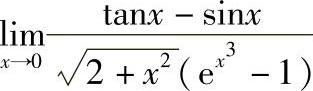
2.当x→0时,将下列无穷小与无穷小x进行阶的比较:

1)tanx-sinx;2)978-7-111-33187-2-Chapter01-400.jpg;3)978-7-111-33187-2-Chapter01-401.jpg;4)ln(1+2x).

3.证明:当x→0时,ex-1与x是等价无穷小.

4.用等价无穷小代换求极限:

1)978-7-111-33187-2-Chapter01-402.jpg;2)978-7-111-33187-2-Chapter01-403.jpg;3)978-7-111-33187-2-Chapter01-404.jpg.