函数的连续性
现实生活中,很多变量的变化是连续不断的,比如气温的变化、植物的生长、物体受热时面积的变化等,都是连续的变化.这种现象在数学上用函数的连续性来反映和研究.
一、连续函数的概念
定义1.21 在函数y=f(x)的定义域中,设自变量x由x0变到x1,差Δx=x1-x0叫做自变量x的增量(改变量),相应的函数值的差Δy=f(x1)-f(x0)=f(x0+Δx)-f(x0)叫做函数y=f(x)的增量(见图1-13).
其中,Δx、Δy是完整的记号,它们可正、可负也可为0.
气温是时间的函数,当时间变化不大时,气温的变化也不大.同样道理,时间变化不大时,植物的生长、物体受热时面积的变化也不大.从这个角度,就可以刻画函数的连续性.
定义1.22 设函数f(x)在x0的某一邻域内有定义,如果当自变量x在点x0处的增量Δx趋于0时,相应的函数增量Δy也趋于0,即

则称函数y=f(x)在点x0连续(见图1-14、图1-15).

图1-13
在定义1.22中,若令x=x0+Δx,即Δx=x-x0,从而Δx→0等价于x→x0.又Δy=f(x0+Δx)-f(x0)=f(x)-f(x0),从而由连续定义有

即
.

图1-14

图1-15
定义1.23 设函数y=f(x)在x0的某一邻域内有定义,如果
,则称函数y=f(x)在点x0连续.
例1 证明函数
在x=0处连续.
证 因为
,且f(0)=0,所以
.
由定义可知,函数f(x)在x=0处连续.
根据左、右极限的定义,类似地可以得到左、右连续的定义.
定义1.24 设函数y=f(x)在点x0及其左邻域(或右邻域)内有定义,若
f(x)=f(x0)(或
=f(x0)),则称函数f(x)在点x0左连续(或右连续).
显然,函数y=f(x)在点x0处连续的充要条件是函数y=f(x)在点x0处既左连续又右连续.
例2 讨论函数
在x=0处的连续性.
解 因为
,
.
所以,函数f(x)在x=0处右连续但不左连续,从而函数f(x)在x=0处不连续.
定义1.25 如果函数f(x)在开区间(a,b)内每一点都连续,则称函数f(x)在区间(a,b)内连续;如果函数f(x)在(a,b)内连续,同时在a点右连续,在b点左连续,则称函数f(x)在闭区间[a,b]上连续.
例如,由极限的运算法则可知,多项式函数f(x)=a0xn+a1xn-1+…+an和有理分式函数
(其中,P(x),Q(x)均为多项式,且Q(x0)≠0)在实数集R内连续.
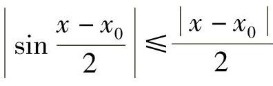
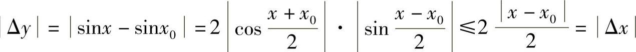
例3 证明f(x)=sinx在R内连续.
证 任取x0∈R,自变量在x0处获得增量为Δx,令x=x0+Δx.由不等式
与
得
故
所以正弦函数sinx在x0连续.由x0的任意性,sinx在R内连续.
二、函数的间断点
从连续的定义可知,f(x)在点x0连续必须满足三个条件:
1)f(x)在点x0有确切的函数值f(x0);
2)当x→x0时,f(x)有确定的极限;
3)这个极限值就等于f(x0).
定义1.26 如果函数y=f(x)在点x0处不满足连续性条件,则称函数f(x)在点x0间断(或不连续).点x0称为函数f(x)的间断点(或不连续点).
显然,f(x)在点x0不满足连续性定义的条件有三种情况:
1)函数f(x)在点x0无定义;2)函数f(x)在点x0有定义,但
不存在;
3)函数f(x)在点x0有定义,且
存在,但
.
对间断点,可按其产生间断的不同原因进行分类.
定义1.27 若f(x)在点x0的左、右极限都存在,但不都等于f(x0),则称点x0是函数f(x)的第一类间断点;
若f(x)在x0的左、右极限至少有一个不存在,则称点x0为f(x)的第二类间断点.
若f(x)在x0的左、右极限存在且相等,但不等于f(x0),或f(x0)无意义,称点x0为f(x)的可去间断点.
例4
,讨论f(x)在x=1点处的间断情况.
解 因为
,但f(x)在x=1点无意义,故在x=1处f(x)间断.
若补充定义
,则f(x)在x=1处连续,x=1是f(x)的可去间断点(见图1-16).

图1-16
例5 设
,讨论f(x)在点x=1处的间断情况.
解 因为
,所以
故x=1是f(x)的可去间断点(见图1-17).
若改变f(x)在x=1处的定义使得f(1)=1,则f(x)在x=1处连续.
若f(x)在x0的左、右极限存在但不相等,则称点x0为f(x)的跳跃间断点.

图1-17
例6
,讨论f(x)在点x=1处的间断情况.(https://www.daowen.com)
解
,
,所以x=0是跳跃间断点(见图1-18).
可去间断点和跳跃间断点都属于第一类间断点.
若f(x)在x0的左、右极限至少有一个是无穷大(∞),则称点x0为f(x)的无穷间断点.

图1-18

图1-19
例7 设
,讨论f(x)在点x=0处的间断情况.
解 函数在点x=0左、右极限都不存在,且都是∞,故x=0是该函数的无穷间断点(见图1-19).
若f(x)在x0的左、右极限至少有一个是振荡的,则称点x0为f(x)的振荡间断点.
例8 设
,讨论f(x)在点x=0处的间断情况.
解 函数在点x=0的左、右极限都不存在,且都是振荡的,所以x=0是该函数的振荡间断点(见图1-20).
无穷间断点和振荡间断点都属于第二类间断点.

图1-20
三、连续函数的运算性质
定理1.17 若函数f(x)与g(x)都在点x0连续,则函数f±g、f·g、
(当g(x0)≠0时)在x0也连续.
此定理可由函数在某点连续的定义和极限的四则运算法则证明,留与读者.
定理1.18 连续函数的复合函数是连续的.
证 设函数u=φ(x)在x0连续,且u0=φ(x0),而函数y=f(u)在u0连续,即
.则
.
故复合函数y=f(φ(x))在点x0连续.
同样可以证明,基本初等函数在其定义区间内是连续的.进而可以证明一切初等函数在其定义域内都是连续的.这样,利用函数的连续性就可以直接代值来求函数的极限.
例9 求
.
解 利用函数连续性及等价无穷小代换,得

例10 求
.
解 利用函数连续性,得

四、闭区间上连续函数的性质
定理1.19 (有界性定理)若函数f(x)在闭区间[a,b]上连续,则它在[a,b]上有界.即存在K>0,对于任意给定的x∈[a,b],有|f(x)|≤K.
一般来说,开区间上的连续函数不一定有界.例如,
在(0,1)上连续,但它无界.
定理1.20 (最值定理)若函数f(x)在闭区间[a,b]上连续,则f(x)在[a,b]上必有最小值和最大值.即在[a,b]上至少有一点ξ1,使f(ξ1)是f(x)在[a,b]上的最小值;又至少有一点ξ2,使f(ξ2)是f(x)在[a,b]上的最大值(见图1-21),即f(ξ1)≤f(x)≤f(ξ2).
如图1-21所示,函数f(x)在闭区间[a,b]上连续,f(ξ1)是f(x)在[a,b]上的最小值,f(ξ2)是最大值.达到最小值和最大值的点有可能是闭区间的端点,并且这样的点未必是唯一的.

图1-21
开区间内连续的函数不一定有此性质.如函数f(x)=tanx在区间
内连续,但
,
,所以f
内取不到最值.
同样地,若函数在闭区间上有间断点,也不一定有此性质.如函数

在闭区间[0,2]上有一间断点x=1,函数f(x)虽然在闭区间上有界,但它取不到最大值和最小值(见图1-22).

图1-22
定理1.21 (零点定理)若函数f(x)在闭区间[a,b]上连续,且f(a)与f(b)异号,则在(a,b)内至少存在一点ξ,使得f(ξ)=0.这里的ξ称为函数的零点.
其几何意义如图1-23所示,在闭区间[a,b]上定义的连续曲线y=f(x)在两个端点a与b的图像分别在x轴的两侧,则此连续曲线与x轴至少有一个交点,交点的横坐标即ξ.
定理1.21也可表述如下:若f(x)是闭区间[a,b]上的连续函数,且f(a)与f(b)异号,则方程f(x)=0在(a,b)内至少有一个根.
例11 判断方程x3-6x+2=0的根的位置.

图1-23
解 设f(x)=x3-6x+2,则f(x)在(-∞,+∞)连续.
f(-3)=-7<0,f(-2)=6>0,f(-1)=7>0,f(0)=2>0,f(1)=-3<0,f(2)=-2<0,f(3)=11>0.
根据零点定理,方程在(-3,-2)、(0,1)和(2,3)内各至少有一个根.又因为该方程为三次方程,至多有三个根,因此在区间(-3,-2)、(0,1)和(2,3)内,方程x3-6x+2=0各有一个根.
定理1.22 (介值定理)若函数f(x)在闭区间[a,b]上连续,M与m分别是f(x)在[a,b]上的最大值和最小值,c是M与m间的任意实数(即m≤c≤M),则在[a,b]上至少存在一点ξ,使得f(ξ)=c(见图1-24).
证 若m=M,则函数f(x)在[a,b]上是常数,定理显然成立.
若m<M,则在闭区间[a,b]上必存在两点x1和x2,使得f(x1)=M,f(x2)=m,不妨设x1<x2.
作辅助函数φ(x)=f(x)-c,则φ(x)在[a,b]上连续,且φ(x1)=f(x1)-c>0,φ(x2)=f(x2)-c<0.

图1-24
由零点定理,在区间(x1,x2)内至少存在一点ξ,使得φ(ξ)=f(ξ)-c=0,即f(ξ)=c(a<ξ<b).
例12 设f(x)在[a,b]上连续,且a<x1<x2<…<xn<b,c1,c2,…,cn为任意正实数,则必存在ξ∈[a,b],使得
.
解 因为f(x)在[a,b]上连续,则在[a,b]上必存在最小值m和最大值M,从而
.由介值定理,必存在ξ∈[a,b],使得
