习题1.7

习题1.7

1.证明函数y=x2连续.

2.讨论函数978-7-111-33187-2-Chapter01-465.jpgx=0处的连续性.

3.求下列函数的间断点,并判断其类型:

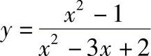
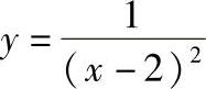
1)978-7-111-33187-2-Chapter01-466.jpg;2)978-7-111-33187-2-Chapter01-467.jpg;3)978-7-111-33187-2-Chapter01-468.jpg;4)978-7-111-33187-2-Chapter01-469.jpg.

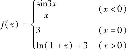
4.找出函数978-7-111-33187-2-Chapter01-470.jpg的间断点,并判断其类型.

5.为函数978-7-111-33187-2-Chapter01-471.jpg补充定义,使得fx)连续.

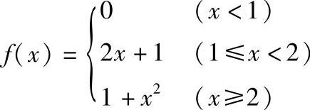
6.讨论函数978-7-111-33187-2-Chapter01-472.jpg的连续性,若有间断点,判断其类型.

7.证明方程x5-3x+1=0在区间(0,1)内有根.

8.证明方程x=asinx+b(其中,a>0,b>0)至少有一个正根,并且它不会大于a+b.