两个重要极限
一、极限存在准则Ⅰ与第一个重要极限
1.准则Ⅰ(夹逼准则)
定理1.11 若函数f(x)、g(x)、h(x)在点x0的某去心邻域内满足条件:
(1)g(x)≤f(x)≤h(x),(2)
,则
.
证 对于任意给定的ε>0,存在δ1>0,当0<|x-x0|<δ1时,有|g(x)-A|<ε,从而(A-ε)<g(x),存在δ2>0,当0<|x-x0|<δ2时,有|h(x)-A|<ε,从而h(x)<(A+ε),取δ=min{δ1,δ2},则当0<|x-x0|<δ时,有
A-ε<g(x)≤f(x)≤h(x)<A+ε
所以有
.
2.第一个重要极限
作为准则Ⅰ的应用,下面将证明第一个重要极限
证 由第三节例6,可知sinx<x<tanx,以sinx除各项得

从而
.当x→0时,
,利用准则Ⅰ,有
=0即
.
类似地,有
(即极限为0的函数的正弦与其本身的比值的极限为1).
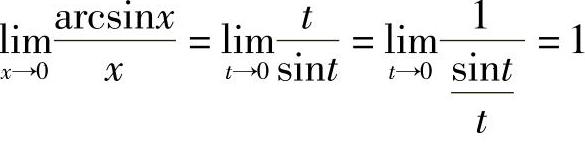
例1 求
.
解 令t=arcsinx,则
.
例2 求
.
解 令t=π-x,则
.
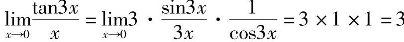
例3 求
.
解
.
例4
.
解
.
二、极限存在准则Ⅱ与第二个重要极限
1.准则Ⅱ(单调有界准则)单调有界数列必有极限.
如果数列{xn}满足:x1≤x2≤…≤xn≤xn+1≤…,就称之为单调增加数列;如果数列{xn}满足:x1≥x2≥…≥xn≥xn+1≥…,就称之为单调减少数列;同理亦有严格单增数列或严格单减数列.通称为单调数列和严格单调数列.
如果存在M,使得xn≤M(n=1,2,…),就称数列{xn}有上界;如果存在M,使得xn≥M(n=1,2,…),就称数列{xn}有下界.统称为有界数列.
准则Ⅱ的证明从略.
准则Ⅱ可推广到函数情形中去,在此不再赘述.
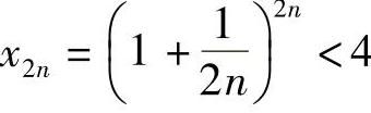
例5 证明数列

收敛,并求其极限.(https://www.daowen.com)
解 数列显然是单调递增的,是否有界很容易用数学归纳法证明,而且an+1=
,利用单调有界准则,设其极限为A,则有
,可得A=2.
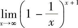
2.第二个重要极限
作为准则Ⅱ的一个应用,下面来证明第二个重要极限
证 设
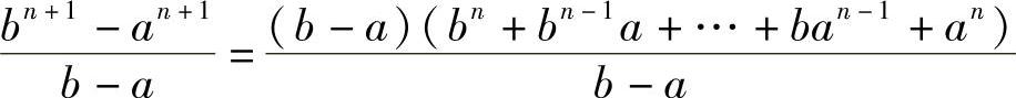
,先证明数列{xn}收敛.对任意的0≤a<b和正整数n,都满足不等式

事实上,

=bn+bn-1a+…+ban-1+an<(n+1)bn
该不等式又可变形为
bn[(n+1)a-nb]<an+1,(0≤a<b,n为正整数)
在此不等式中,取
,
,则有0≤a<b,就有
,故{xn}单调增加,
取a=1,
,又有
对任何正整数n都成立,所以
,即
.
又因为x2n-1<x2n,所以xn<4,即数列{xn}有界.
由单调有界原理,数列
有极限,将此极限记为e,则

e是一个无理数,它的值是e=2.718281828459045…
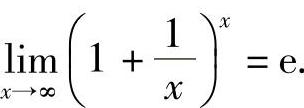
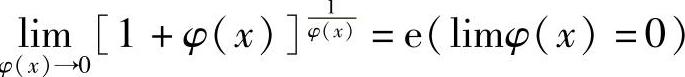
类似地,可以证明
,这里从略.
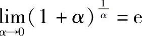
设
,则x→∞⇔α→0,也可以得到
.
类似地,有
.
指数函数y=ex及自然对数y=lnx中的底就是这个常数e.
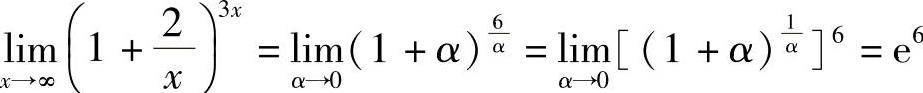
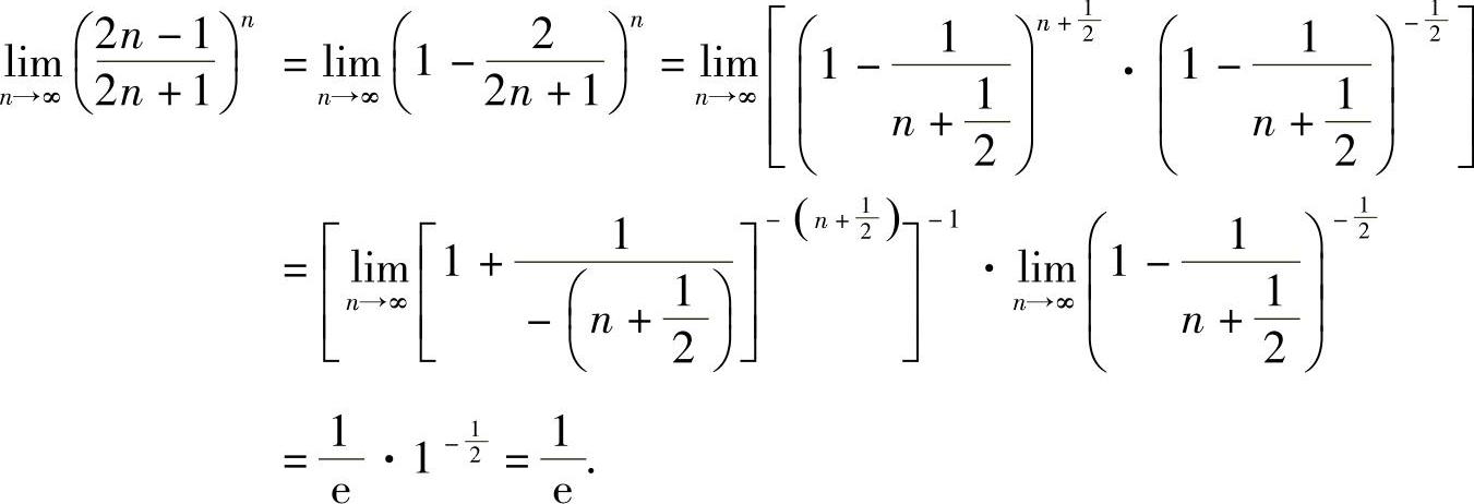
例6 求
.
解
.
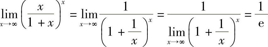
例7 求
.
解 令
,则当x→∞时α→0.故

或
.
例8 求
.
解 

例9 求
.
解 