无穷小与无穷大
一、无穷小
定义1.18 若
,则称f(x)是当x→x0时的无穷小量,又称无穷小.
在上述定义中,将x→x0换成x→x0+,x→x0-,x→+∞,x→-∞,x→∞以及n→∞,可定义不同形式的无穷小.例如:
当x→0时,函数x3,sinx,tanx都是无穷小.
当x→+∞时,函数
,
,
都是无穷小.
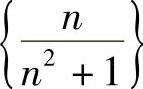
当n→∞时,数列
,
,
都是无穷小.
无穷小是极限为零的变量,而不是“很小的数”.除零之外的任何常数,无论它的绝对值怎么小,都不是无穷小.
由无穷小的定义及极限的四则运算法则,可得如下性质.
定理1.12 若函数f(x)与g(x)都是x→x0时的无穷小,则函数f(x)±g(x)是x→x0时的无穷小.
定理1.13 若函数f(x)是x→x0时的无穷小,函数g(x)在x0的某去心邻域
有界,则f(x)·g(x)是x→x0时的无穷小.
特别地,若f(x)与g(x)都是当x→x0时的无穷小,则函数f(x)·g(x)也是x→x0时的无穷小.
推论1.3 常量与无穷小的乘积仍是无穷小.
定理1.14
的充要条件是f(x)=A+α(x),其中,α(x)是x→x0时的无穷小.
证 必要性,设
,令α(x)=f(x)-A,则f(x)=A+α(x),只需证明当x→x0时,α(x)是无穷小量.
事实上,因为xlim
,则对于任意给定的ε>0,存在δ>0,当0<|x-x0|<δ时,有|f(x)-A|<ε,由定义1.18可知,α(x)=f(x)-A是无穷小.
充分性,设f(x)=A+α(x),其中,α(x)(x→x0)是无穷小,则f(x)-A=α(x).因α(x)(x→x0)是无穷小,则对于任意给定的ε>0,存在δ>0,当0<|x-x0|<δ时,有|f(x)-A|=α(x)<ε.
所以
.
二、无穷大
定义1.19 设f(x)在x0的某一去心邻域内有定义,若对任意给定的正数M>0,总存在δ>0,当0<|x-x0|<δ时,有|f(x)|>M,则称函数f(x)当x→x0时是无穷大,表示为

将定义中的不等式|f(x)|>M改为f(x)>M或f(x)<-M,则称函数f(x)当x→x0时是正无穷大或负无穷大.分别表示为

无穷大不是很大的数,无穷大是在随着自变量的变化过程中,绝对值无限增大的变量.
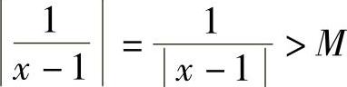
例1 证明
.
证 对于任意给定的M>0.要使
,只须
,取
,于是对于任意给定的M>0,存在
,当0<x-1<δ时,有
,即
.
例2 证明
(https://www.daowen.com)
证 对于任意给定的M>0(M>1),要使不等式ax>M成立,只要x>logaM,取X=logaM,于是对于任意给定的M>0,存在X=logaM,当x>X时,有ax>M即
.
三、无穷小与无穷大的关系
定理1.15 在自变量的同一变化过程中,
1)若f(x)是无穷大,则
是无穷小;2)若f(x)是无穷小,且f(x)≠0,则
是无穷大.
证 只证2).设
,且f(x)≠0.对于任意给定的M>0,当x→x0时,f(x)是无穷小,则对任意的
,存在δ>0,使得当0<|x-x0|<δ时,有
,也就是
.
即,函数
当x→x0时是无穷大.
四、无穷小的比较
当x→0时,函数x,2x,x2都是无穷小,但它们趋于0的速度却不一样.如表1-1所示:
表1-1

显然,x2趋于0的速度最快,而x与2x趋于0的速度相差不大.由此,引入无穷小的比较.
定义1.20 设α与β是在自变量的同一变化过程中的两个无穷小,且β≠0.
若
,则称α是β的高阶无穷小,记为α=o(β).
若
,则称α是β的低阶无穷小.
若
,则称α与β是同阶无穷小.特别地,若
,则称α与β是等价无穷小,记为α~β.
例3
1)因为
,所以tanx~x.
2)因为
,所以1-cosx是x的高阶无穷小.
3)因为
,所以两者是同阶无穷小.
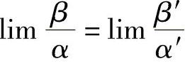
定理1.16 若α~α′,β~β′,且
存在,则
.
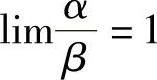
证
.
例4 求
.
解 当x→0时,tan2x~2x,sin3x~3x,所以
.
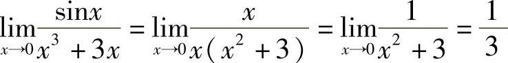
例5 求
.
解 当x→0时,sinx~x,而x3+3x与它本身显然是等价的,所以
.
当x→0时,常见的等价无穷小有sinx~x,arcsinx~x,tanx~x,arctanx~x,
ln(1+x)~x,ex-1~x,
,(1+x)m-1~mx.