4.4.1 线性方程组的表示和种类
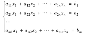
一般的线性方程组通常表示为如下形式:

这里x1,x2,…,xn是n个未知数,m行代表了未知数满足的m个方程.
可以用矩阵乘法表示,其中X为n个未知数构成的列向量,b为方程组右边的数值构成的列向量,A=(aij)m×n为方程组的系数矩阵,[A b]称为线性方程组的增广矩阵.MATLAB中,就是通过矩阵A、列向量b来描述一个线性方程组的.
根据系数矩阵A的形状和秩,线性方程组可以分为恰定方程组、欠定方程组和超定方程组.
①当系数矩阵A是一个满秩方阵,即rank(A)=m=n时,此线性方程组具有唯一解,称为恰定方程组.
②当方程个数小于未知数个数,即m<n时,线性方程组有无穷多个解,称为欠定方程组.
③当有效方程个数(线性无关的方程个数)大于未知数个数时(一般m>n都对应这种情况),线性方程组没有精确解,称为超定方程组.