5.2.1 定积分计算
函数f(x)在区间[a,b]上的定积分定义为

其中,a=x0<x1<…<xn-1<xn=b;Δxi=xi-xi-1;ξi∈(xi-1,xi),i=1,2,…,n;
.
设函数F(x)是f(x)在区间[a,b]上的一个原函数,则由牛顿-莱布尼兹公式知

1.定积分符号解
MATLAB符号运算工具箱提供了int函数来求函数的定积分,该函数的调用格式为
![]()
其中,fx是函数的符号表达式;x是符号自变量(fx只含一个符号变量时可省略);a和b分别是积分的积分下限和积分上限.
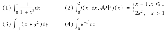
例5.7 求下列定积分.

解:


注意:上述结果中出现了erf函数,其数学定义为

2.定积分数值解
当被积函数的原函数不能用初等函数表达时,无法利用牛顿-莱布尼兹公式计算定积分,此时引入数值方法来计算定积分的近似值.求解定积分的常用数值方法如下.
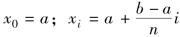
中点矩形公式:

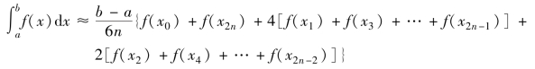
梯形公式:
![]()
抛物线公式:(https://www.daowen.com)

其中,
,i=1,2,…,n,为区间[a,b]的n个等分点.
例5.8 用中点矩形公式求定积分
的近似值(取n=100).
解:

MATLAB自身提供了很多求解数值积分的专用函数,常用的如下.
trapz函数:该函数是基于梯形公式设计编写的,其一般调用格式为
![]()
其中,x是由分割节点组成的行向量或列向量;y为被积函数在对应节点上的函数值组成的向量;I是返回的数值积分.
quad函数:该函数是基于抛物线公式设计编写的,其一般调用格式为:
I=quad(fx,a,b,tol)
其中,fx是被积函数的字符表达式、内联函数、匿名函数或M函数;a和b分别是积分下限和积分上限;tol是指定的误差限(默认值为10-6);I是返回的数值积分.
quadl函数:该函数使用递归自适应Lobatto算法,其调用格式与quad函数完全一致,不再赘述.
例5.9 已知阻尼正弦波函数为
![]()
其中,
,试求积分
.
解:
(1)符号积分法

(2)数值积分法(梯形公式)

(3)数值积分法(抛物线公式)
