5.2.3 曲线积分与曲面积分计算
一、曲线积分
函数f(x,y)在曲线弧L上的第一类曲线积分定义为

其中,Δs1,Δs2,…,Δsn为曲线弧被任意分割成的n个小弧段的弧长;λ=
为第i个小弧段上任意取定的一点(i=1,2,…,n).
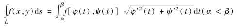
设f(x,y)在曲线弧L上有定义且连续,L的参数方程为
x=φ(t),y=ψ(t),(α≤t≤β)
其中,φ(t)、ψ(t)在[α,β]上具有一阶连续导数,且φ′2(t)+ψ′2(t)≠0,则

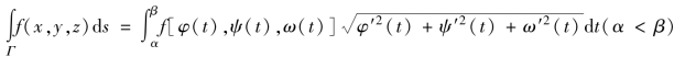
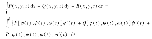
上述公式可以推广到空间曲线Γ由参数方程
x=φ(t),y=ψ(t),z=ω(t),(α≤t≤β)
给出的情形,这时有

根据上述求曲线积分公式,可以利用MATLAB提供的求导函数diff和求定积分函数int来求解第一类曲线积分.
例5.16 计算曲线积分
,其中Γ是螺旋线:x=acos t,y=asin t,z=kt,在0≤t≤2π之间的一段弧.
解:

函数P(x,y)在有向曲线弧L上的对坐标x的曲线积分定义为

其中,M1(x1,y1),M2(x2,y2),…,Mn-1(xn-1,yn-1)是将L分割成n个有向小弧段的任意点列;Δxi=xi-xi-1;Δyi=yi-yi-1;λ为各小弧段长度的最大值;(ξi,ηi)为第i个有向小弧段上任意取定的一点(i=1,2,…,n).
类似地,函数Q(x,y)在有向曲线弧L上的对坐标y的曲线积分定义为

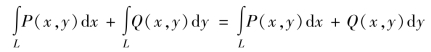
以上两个积分也称为第二类曲线积分,应用上经常将两者合并起来写成

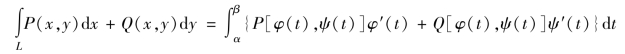
设P(x,y)、Q(x,y)在有向曲线弧L上有定义且连续,L的参数方程为
x=φ(t),y=ψ(t)
当参数t由α单调地变到β时,点M(x,y)从L的起点沿着L运动到终点,φ(t)、ψ(t)在α和β为端点的闭区间上具有一阶连续导数,且φ′2(t)+ψ′2(t)≠0,则

上述公式可以推广到空间有向曲线Γ由参数方程
x=φ(t),y=ψ(t),z=ω(t)
给出的情形,这时有

因此,仍然可以利用diff函数和int函数来求解第二类曲线积分.
例5.17 计算曲线积分
,其中Γ是从点A(3,2,1)到点B(0,0,0)的直线段AB.
解:Γ的参数方程为
x=3t,y=2t,z=t,t从1到0
因此,编写如下语句求解该曲线积分:
(https://www.daowen.com)
二、曲面积分
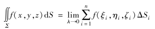
函数f(x,y,z)在曲面Σ上的第一类曲面积分定义为

其中,ΔS1,ΔS2,…,ΔSn为曲面Σ被任意分割成的n个小块曲面(ΔSi同时也代表第i小块曲面的面积);
为第i个小块曲面上任意取定的一点(i=1,2,…,n).
设f(x,y,z)在Σ上连续,Σ的方程为
z=z(x,y),(x,y)∈Dxy
且z(x,y)在Dxy上具有连续偏导数,则

由上面给出的求曲面积分公式,可以利用MATLAB提供的求偏导函数diff和求积分函数int来求解第一类曲面积分.
例5.18 计算曲面积分
,其中Σ是球面x2+y2+z2=4被平面z=1所截出的顶部.
解:Σ的方程为
![]()
变换到极坐标系下通过解二重积分来求解上述曲面积分,编写如下语句:

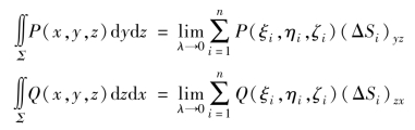
函数R(x,y,z)在有向曲面Σ上对坐标x、y的曲面积分定义为

其中,ΔS1,ΔS2,…,ΔSn为曲面Σ被任意分割成的n个有向小块曲面(ΔSi同时也代表第i小块曲面的面积);
为ΔSi在xOy面上的投影;(ξi,ηi,ζi)为第i个小块曲面上任意取定的一点(i=1,2,…,n).
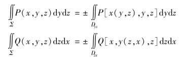
类似地,函数P(x,y,z)和Q(x,y,z)在有向曲面Σ上对坐标y、z和z、x的曲面积分分别定义为

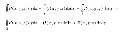
以上三个曲面积分也称为第二类曲面积分,应用上经常将三者合并起来写成

设R(x,y,z)在Σ上连续,Σ的方程为
z=z(x,y),(x,y)∈Dxy
且z(x,y)在Dxy上具有连续偏导数,则

其中,曲面积分取Σ上侧时等号右端取正号,取Σ下侧时等号右端取负号.
类似地,有

根据上述公式,可以嵌套调用int函数来求解第二类曲面积分.
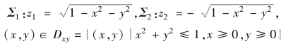
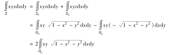
例5.19 计算曲面积分
,其中Σ是球面x2+y2+z2=1外侧在x≥0,y≥0的部分.
解:将Σ分为Σ1和Σ2两部分,其中

因此

编写如下语句求解该曲面积分:
