5.3.2 幂级数与傅里叶级数
一、幂级数
给定一个定义在区间I上的函数列un(x)(n=1,2,3,…),称
![]()
为一个函数项级数.
形如

的函数项级数称为幂级数,常数a0,a1,a2,…,an,…称为幂级数的系数.
如果

令

则
时,幂级数绝对收敛;
当
当
时,幂级数发散;
当x=R与x=-R时,幂级数可能收敛也可能发散.
R称为幂级数
的收敛半径.
例5.27 求下列幂级数的收敛半径.
(1)
(2)![]()
(3)1+x+2!x2+3!x3+…+n!xn+…
解:

如果函数f(x)在点x0的某邻域内能展开成如下幂级数
f(x)=a0+a1(x-x0)+a2(x-x0)2+…+an(x-x0)n+…
则
,即

上述幂级数称为函数f(x)在点x0的处的泰勒级数.特别地,当x0=0时,该级数称为函数f(x)的Maclaurin级数.
MATLAB提供了函数taylor来求解函数的泰勒展开式,其调用格式为(https://www.daowen.com)
![]()
其中,f是待展开函数的符号表达式;v是函数的符号变量;Name和Value用来给出参数选项,如,‘ExpansionPoint’可以给出泰勒展开的位置(默认为0),‘Order’可以给出泰勒展开的项数(默认为6).
例5.28 求函数f(x)=ex在点x=1处的1~3阶泰勒展开式.
解:首先计算f(x)的1~3阶泰勒展开式:

下面绘制f(x)及其1~3阶泰勒展开式的图形:

运行结果如图5-9所示.

图5-9 函数及其泰勒展开式图形
二、傅里叶级数
设f(x)是以2l为周期的周期函数,如果积分

都存在,则称三角级数

为函数f(x)的傅里叶级数.
MATLAB目前没有提供专门的求解函数的傅里叶级数的命令,但是通过上述公式可以通过调用int函数编写如下的求解函数的傅里叶级数的函数文件,代码如下:


注意:也可以通过调用数值积分函数quad来求解函数的傅里叶级数,此时得到的不再是傅里叶级数的展开式,而是傅里叶级数在指定点上的值,这里不再赘述.
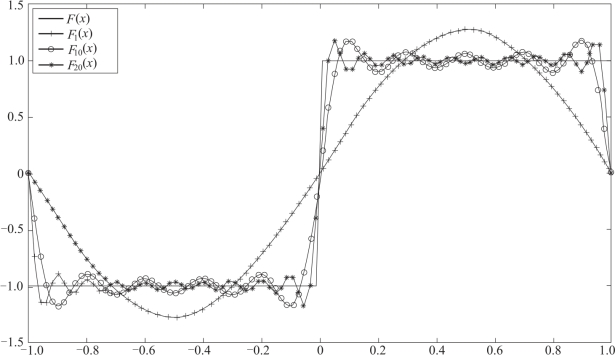
例5.29 分别用1、10和20阶傅里叶级数对[-1,1]上的方波信号
进行拟合.
解:首先,通过调用fourierseries函数可以分别计算f(x)的1阶、10阶和20阶傅里叶级数展开式F1(x)、F10(x)、F20(x),执行如下语句:

然后绘制f(x)及F1(x)、F10(x)、F20(x)的图形:

运行结果如图5-10所示.

图5-10 方波及其傅里叶级数拟合