第11章 含硫化合物

第11章 含硫化合物

习题

一、完成反应

图示

图示

二、合成设计

1.合成牛磺酸(taurine):

合成路线Ⅰ

图示

合成路线Ⅱ

图示

2.合成甜蜜素(cyclamate环己氨基磺酸钠):

图示(https://www.daowen.com)

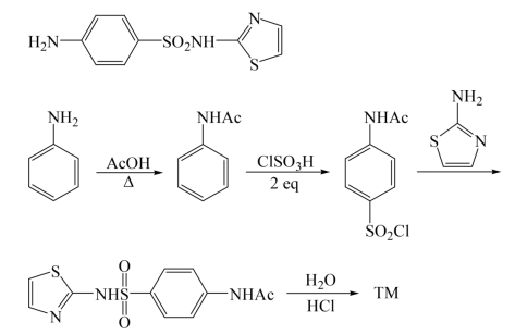
3.合成磺胺药磺胺噻唑:

图示

4.合成氨苯砜:

图示

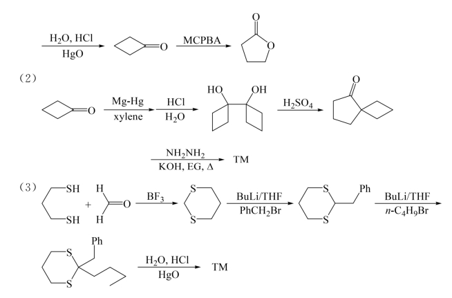
5.以甲醛为基本原料合成:

图示

本合成旨在训练二噻烷——极性反转(Umpolung)在有机合成中的应用.

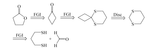
(1)逆合成分析:

图示

合成:

图示

图示