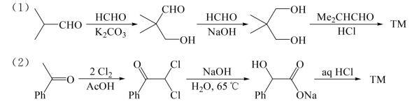
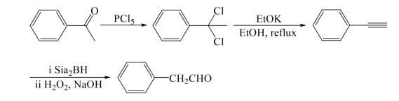
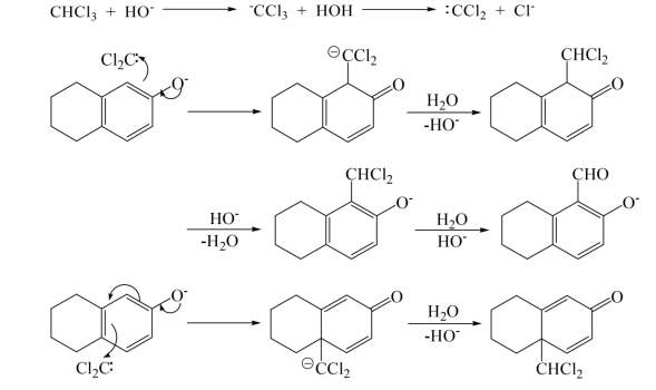
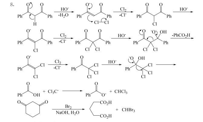
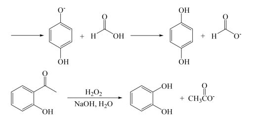
第8章 醛酮醌
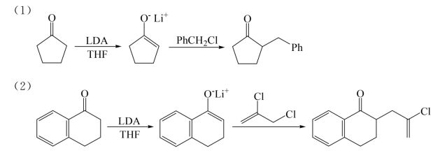
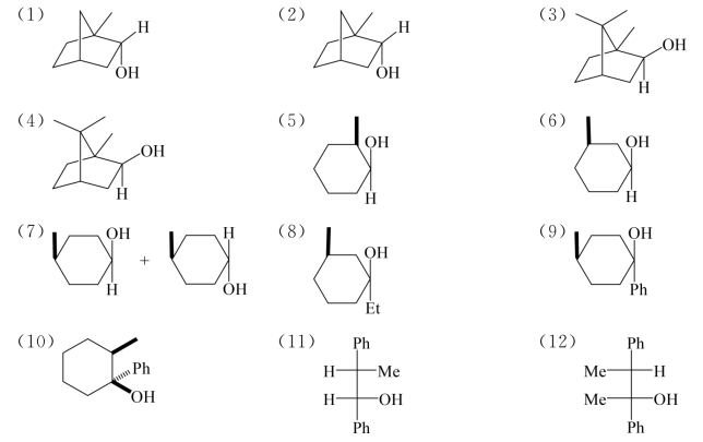
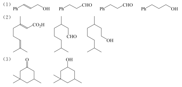
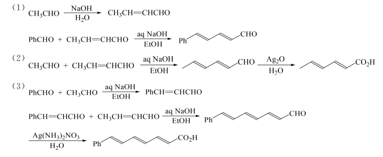
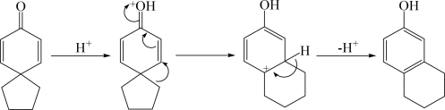
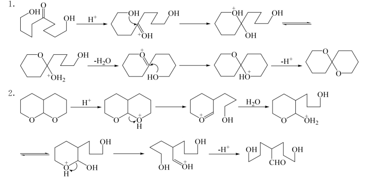
问题1 完成转化

问题2 用重水(D2O)做氘化处理,比较前后质荷比之差,Δm=3的是2,4,4-三甲基环己酮.
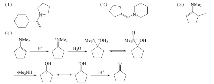
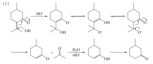
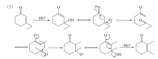
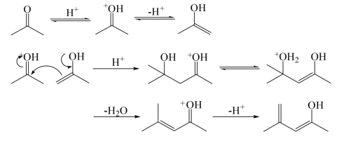
问题3 解释实验事实
(1)通过烯醇式负离子实现环翻转,反式体更稳定.
![]()
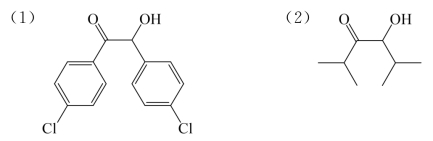
(2)前者的手性碳上有活性α-氢,可以烯醇化而消旋化,后者的手性碳上没有活性氢,不能烯醇化,也就不能消旋化.

问题4 分离提纯
(1)用饱和亚硫酸氢钠处理,再分离纯化.
(2)同上.
问题5 完成反应

问题6 解释实验事实

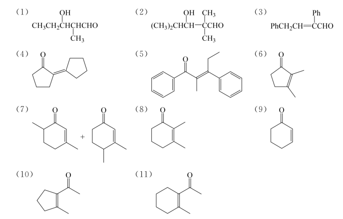
问题7 完成反应

问题8 完成反应

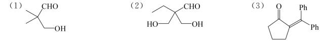
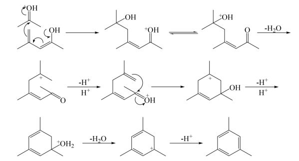
问题9 解释反应
普通环状的缩醛酮更易形成,也是熵增反应.
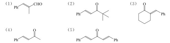
问题10 完成反应

问题11 完成转化
i HSCH2CH2SH/BF3;ii H2/Raney Ni
问题12 因为缩醛在酸性环境中不稳定.
问题13 完成转化
(1)i CH3OH/HCl;ii KMnO4,H2O,NaOH;iii H2O,HCl
(2)i CH3COCH3/TsOH;ii KMnO4,H2O,Na2CO3;iii H2O,H2SO4
问题14 X、Y和Z的结构式:

问题15 完成反应

问题16 完成反应

问题17 完成转化
i Na2Cr2O7/H2SO4;ii NH2OH-HCl;iii H2SO4
问题18 完成反应

问题19 化学鉴别
用2,4-二硝基苯肼或氨基脲处理,通过形成腙或缩氨脲区分.
问题20 完成反应

问题21 完成转化

问题22 完成反应

(9)F3CCHO;NaBH4,EtOH,H2O
问题23 完成转化

问题24 完成反应

问题25 完成转化

问题26 完成反应

问题27 完成反应

问题28 完成转化
(1)i NaBH4;ii H3PO4/Δ;iii O3,then Zn/H2O;iv NaOH,H2O/EtOH
(2)i Os O4/H2O2;ii HIO4;iii NaOH/H2O,EtOH
问题29 完成反应

问题30 完成反应

问题31 建议机理


(3)同上,逆羟醛缩合、再缩合.
问题32 完成反应

问题33 完成反应

问题34 完成反应

问题35 建议机理

问题36 完成反应
![]()
问题37 完成转化


问题38 完成转化
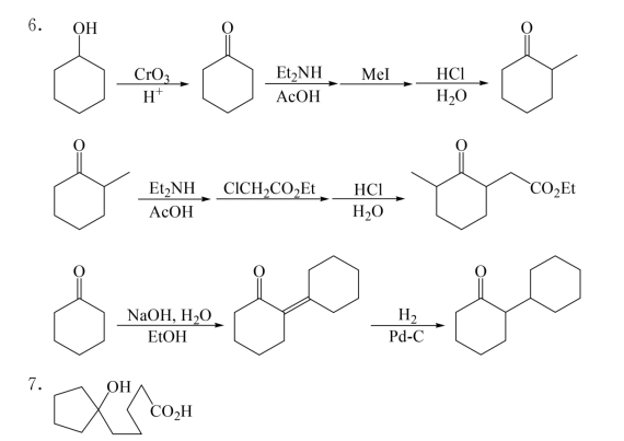
i CrO3,AcOH;ii BrCH2CO2Et,Zn/Et2O,then HCl/H2O
问题39 完成反应
![]()
问题40 完成转化
(1)i HCHO,Me2NH/HCl;ii Mei;iii KOH,EtOH/Δ
(2)i HCHO,Et2NH/HCl;ii Mei;iii KOH,EtOH/Δ
问题41 完成反应

问题42 给出反应机理:

问题43 完成反应

问题44 完成转化
i Na2Cr2O7/H2SO4;ii Me2C=PPh3
问题45 完成反应

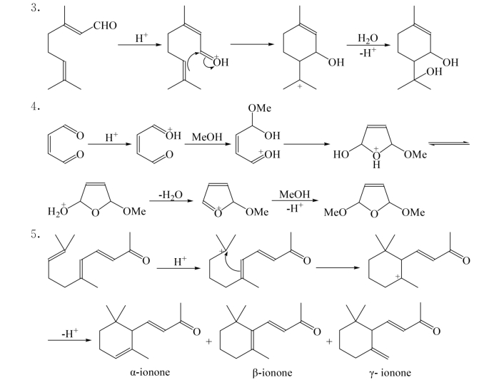
问题46
![]()
问题47 化学鉴别
碘仿试验,前者有正反应.
问题48 完成转化

问题49 完成反应

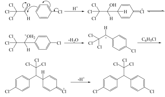
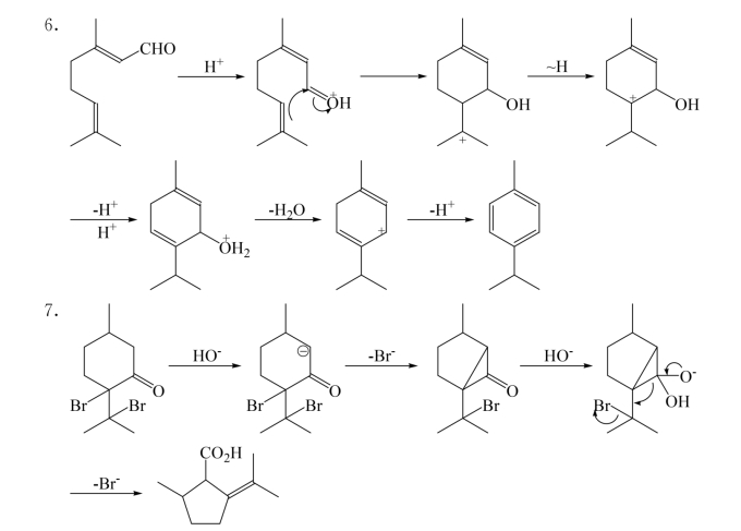
问题50 完成反应并建议机理
同种产物,因为中间体相同.
![]()
问题51 完成反应并建议机理

问题52 完成反应

问题53 完成反应并建议机理


问题54 解释事实
苯甲酸;空气氧化之故.(https://www.daowen.com)
问题55 完成反应

问题56 完成转化
i CrO3,AcOH;ii MCPBA
问题57 完成反应

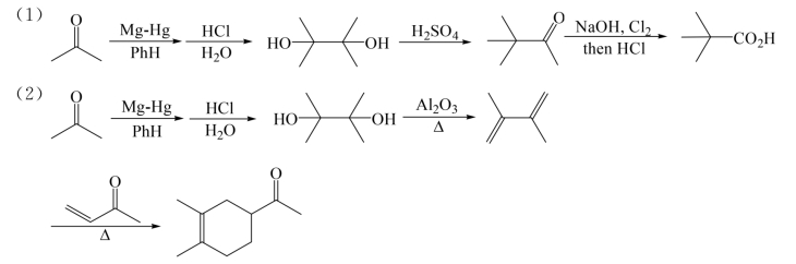
问题58 合成

(3)i Mg-Hg/PhH,then HCl/H2O;ii Al2O3/Δ;iii maleic anhydride/Δ
问题59 完成反应

问题60 完成转化
i CH3CHO/NaOH,EtOH/H2O;ii Al(OCHMe2)3/Me2CHOH
问题61 完成反应

问题62 反应消耗5分子氢.
问题63 完成转化
(1)i CH3OH/TsOH;ii NH2NH2,KOH/EG,Δ;iii HCl,H2O
(2)i CH3MgI,then HCl/H2O;ii H3PO4/Δ;iii KMnO4;iv Zn-Hg/HCl
问题64 完成反应

问题65 建议机理

问题66 完成转化

问题67 完成转化

问题68 反应机理:


问题69 完成反应

问题70 建议机理

问题71 完成转化
(1)i CH3CO2H/ZnCl2;ii Br2,NaOH/H2O
(2)i CH3(CH2)4CO2H/ZnCl2;ii Zn-Hg,HCl/Δ
问题72 给出下述反应机理.

问题73 完成转化
(1)i NaCN,EtOH,H2O;ii FeCl3/AcOH;iii NaOH,EtOH/Δ,then,HCl
(2)i CrO3/AcOH;ii NaOH,EtOH/Δ,then H2SO4
问题74 完成转化
(1)i Na2Cr2O7/H2SO4;ii SeO2;iii NaOH,EtOH/Δ,then H2SO4
(2)i SeO2;ii NaOH,EtOH/H2O,then H2SO4
问题75 完成转化
(1)K2CO3/PhCH2Br (2)K2CO3/BrCH2CH═CH2(3)2 CH3I/KOH,EtOH/Δ
问题76 完成反应

问题77 完成反应

问题78 完成反应

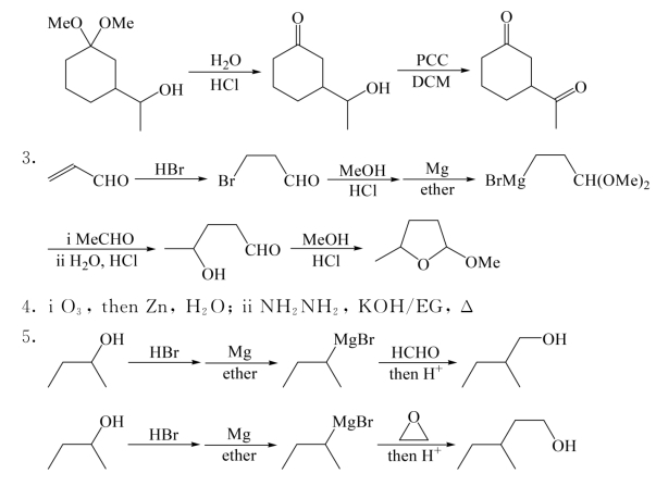
问题79 选择适当原料合成

问题80 完成反应

问题81 选择适当原料合成
(1)CH2═CHCHO+CH2═CHCH2Li or CH2═CHCH2MgBr

问题82 完成反应

问题83 从适当原料合成

问题84 完成反应

问题85 建议机理

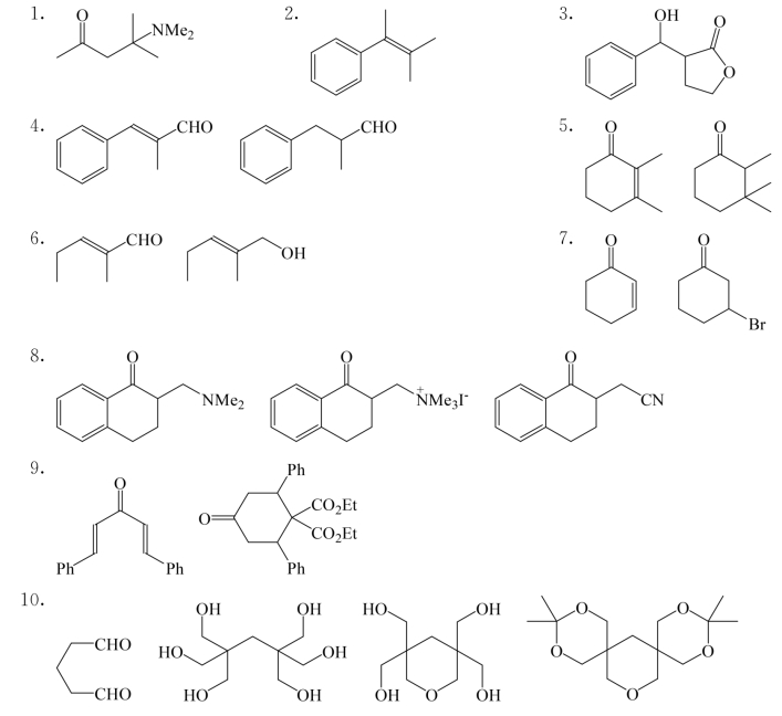
习题
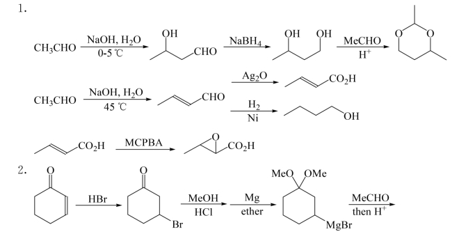
一、完成反应


二、完成转化




三、合成设计
1.i BrCH2CO2Et,Zn/ether,then H2O;ii Al(OCMe3)3/Me2CO
2.i O2/V2O5,Δ;ii C6H6/AlCl3;iii PPA;iv Ac2O/AlCl3;v NaOCl
i O2/V2O5,Δ;ii C6H6/AlCl3;iii PPA;iv H2SO4,Δ
3.i CrO3/AcOH;ii HCHO,NaOH/H2O;iii HCHO/NaOH
i CrO3/AcOH;ii NaOH,H2O/40℃;iii H2/Ni
i CH3CH═CHCHO,H2/Pd-C;ii NaOH,H2O/80℃;iii H2/Ni


i Na2Cr2O7/H2SO4;ii Mg-Hg/PhH,then HCl;iii H2SO4;iv MCPBA;v NaOH,then HCl

逆合成分析RSA:

合成:

8.见问题66

10.i CH3CHO/NaOH,H2O,40℃;CH2(CO2H)2,Py/Δ

13.以苯酚和丙酮为基本原料合成阻燃剂TBBPA:
i Me2CO,2 PhOH/H2SO4;ii Br2/H2O
14.由环庚酮合成蜂王素(queen substance):

15.合成:
合成含季碳的分子让我们首先想到Pinacol重排反应.这需要邻二叔醇,可由烯键提供,Wittig反应是最佳选择.

最后一步的Pinacol重排不用担心带来产物混乱,因为第一步质子化脱水产生的二苯甲基碳正离子与另一羟基质子化脱水生成的碳正离子的稳定性差别足够大.
关于烯键的形成,反过来亦可,即由二苯甲醇出发制备Wittig试剂,再与环戊酮缩合.
建立邻二醇也可用碱性稀高锰酸钾或四氧化锇氧化.事实上,环氧化物重排就是目标分子.
16.合成:

四、建议机理




9.Dakin氧化(反应):


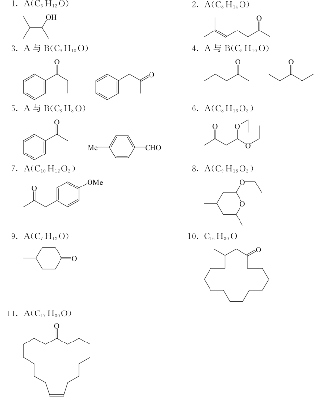
五、推导结构
