第10章 含氮化合物
问题1 完成反应

问题2 完成转化
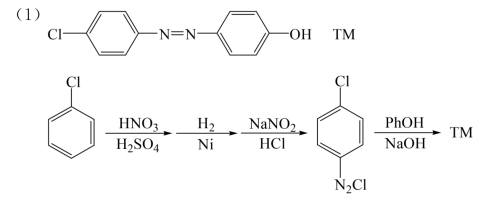
(1)以C7芳香化合物为原料用两种方法合成2-苯基乙胺.
i PhCHO,CH3NO2/NaOH,EtOH;ii H2/Pd-C
i PhCH2Cl,NaCN;ii LiAlH4,then H2O,HCl


(4)三羟甲基甲胺(THAM)
i CH3NO2,3 HCHO/K2CO3;ii H2/Raney Ni
问题3 吗啉分子内的氧原子有吸电子诱导效应,导致氮原子上的电子密度降低.
问题4 结构独特的双氮DBN质子化后的正离子存在离域(共振),比较稳定.DBU也是.

问题5 解释

同属叔胺的三乙胺、奎宁环与二氮奎宁环的碱性各有不同.三乙胺与奎宁环的碱性相近,这时亲核反应速率取决于立体效应.奎宁环的立体位阻比三乙胺小得多,因此反应也快得多.奎宁环与二氮奎宁环的环系结构相同,位阻相同,但后者分子内多一个氮原子,其吸电子诱导效应降低了另一个氮原子的电子密度,即减弱其碱性,也就是其亲核性变弱,所以反应速率减少.
问题6 解释

化合物b分子内二甲胺基的立体效应显著,两侧的硝基将其挤出了苯环平面,也就是破坏了胺氮与苯环的共轭,因此胺氮的碱性凸显.
问题7 完成反应

问题8 以环己胺为基本原料合成:

问题9 化学鉴别
利用Hinsberg反应鉴别.用苯磺酰氯的氢氧化钠水溶液处理,溶解成均相的是环戊胺,有白色沉淀析出的是哌啶,前后无变化的是N-甲基二乙胺.
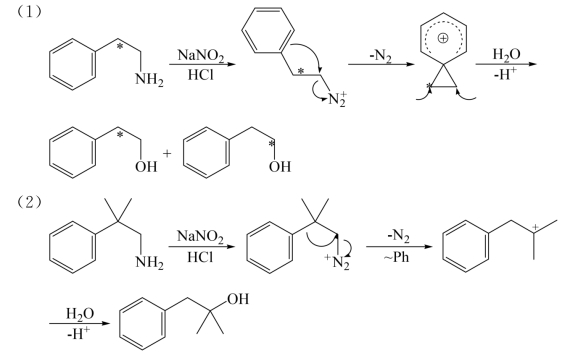
问题10 建议机理

问题11 完成转化
(1)i NaCN,H2SO4;ii H2/Pd-C;iii Na NO2,HCl
(2)i CH3NO2,NaOH;ii H2/Raney Ni;iii NaNO2,HCl
问题12 完成转化
i SOCl2;ii Me2NH;iii LiAlH4;iv H2O2,thenΔ
问题13 完成反应

问题14 完成转化
i AcOH/Δ;ii Br2/AcOH;iii H2O/NaOH
问题15 完成转化
i AcOH/Δ;ii HNO3/AcOH;iii H2O/NaOH
问题16 完成反应

问题17 完成转化
(1)i CrO3/AcOH;ii CH3NH2,NaBH3CN
(2)i Na2Cr2O7/H2SO4;ii NH2CH2CO2H,H2/Raney Ni
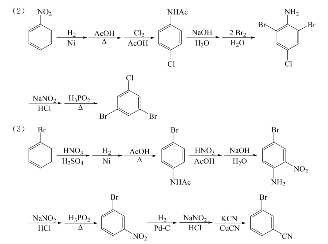
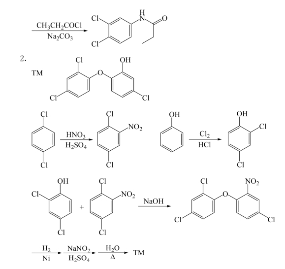
问题18 由氯苯合成橡胶防老剂:
(1)i HNO3/H2SO4;ii PhNH2/Δ;iii Me2CO,NaBH3CN
(2)i HNO3/H2SO4;ii PhNH2/Δ;iii Me2CHCH2COCH3,H2/Raney Ni
问题19 完成反应

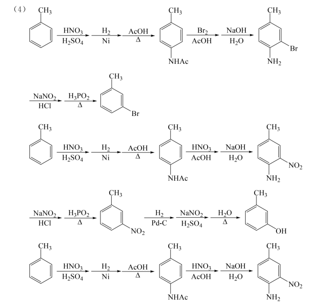
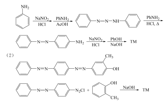
问题20 以对苯二胺为原料合成橡胶防老剂:
(1)2 PhOH,ZnCl2/Δ(2)2β-Naphthol,ZnCl2/Δ
问题21 建议机理
Ritter反应.
问题22 完成反应

此为Fischer-Hepp重排.
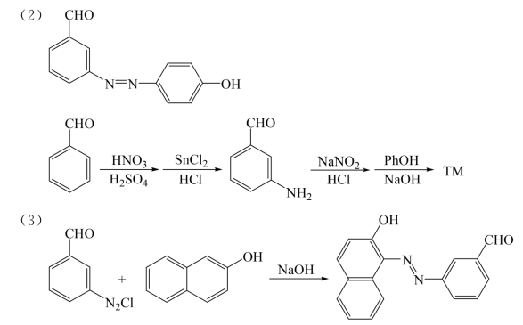
问题23 由对甲氧基二苯胺制备4-甲氧基-4-氨基二苯胺:
i NaNO2/HCl;ii HCl/Δ;iii H2/Raney Ni
这里利用了Fischer-Hepp重排反应.
问题24 完成反应

问题25 合成
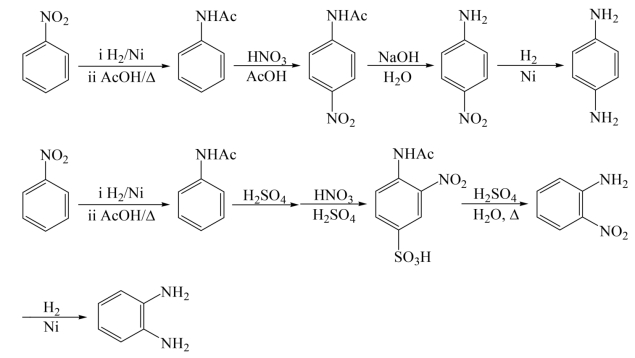
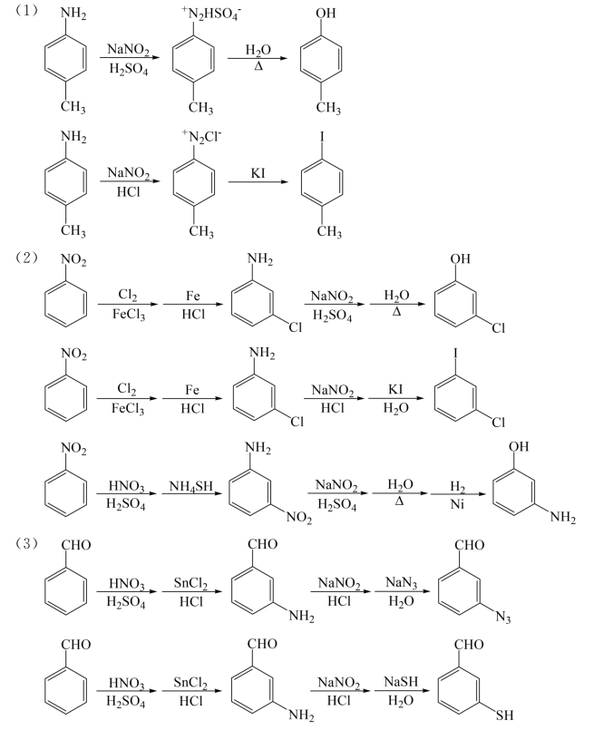
(1)以氯苯为原料合成对苯二胺和邻苯二胺:

(2)以硝基苯为原料合成对苯二胺和邻苯二胺:

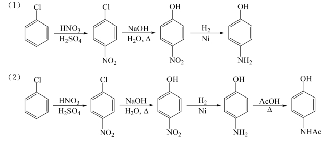
问题26 以氯苯为原料合成酚胺:


问题27 完成转化

问题28 完成反应

问题29 完成转化

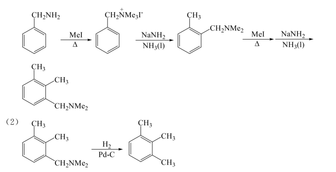
这里利用了Stevens重排反应.(https://www.daowen.com)
问题30 完成转化
(1)Sommelet重排


问题31 完成反应

问题32 完成反应

问题33 推导结构

问题34 给出下列季铵碱进行Hofmann消去的产物

问题35 给出以下环胺Hofmann彻底甲基化降解产物.


问题36 完成转化

问题37 完成转化


问题38 完成转化

问题39 完成转化




问题40 完成反应

问题41 完成反应

问题42 完成转化
i SOCl2;ii CH2N2;iii Ag2O/H2O
问题43 完成反应

问题44 合成设计


问题45 合成设计

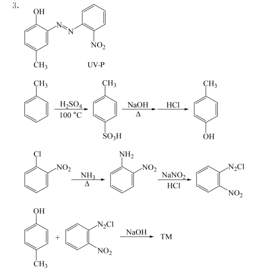
问题46 合成分散黄(disperse yellow):


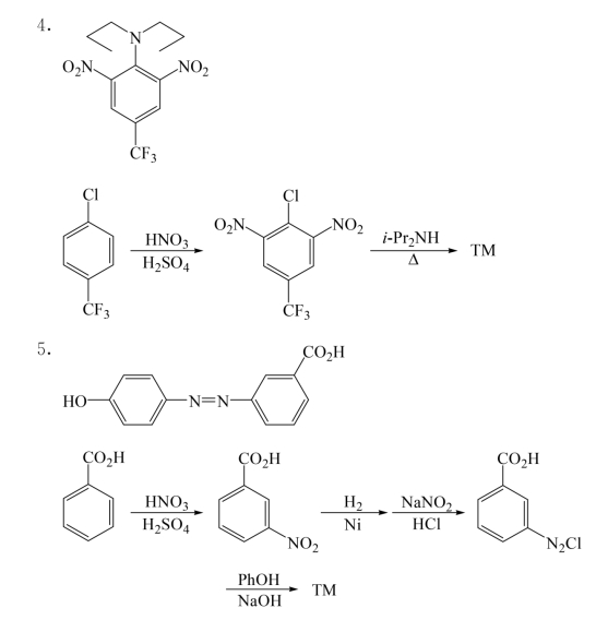
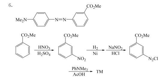
问题47 完成转化

习题
一、完成反应


11.PhCH═CHCH3

二、合成设计
1.以氯苯为原料





7.以甲苯为基本原料合成芴.

合成路线Ⅰ


合成路线Ⅱ

此为Pschorr反应.
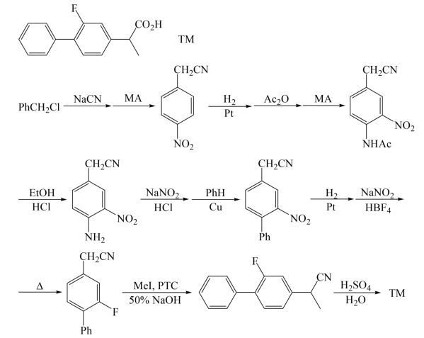
8.合成苯氟布洛芬:

三、建议机理

离去基处于a键,反式消去.

离去基处于e键,也难以转环,因此,不能实现反式消去,只好发生双分子亲核取代.
四、推导结构
