第9章 羧酸及其衍生物
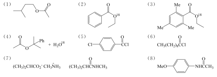
问题1 分离纯化
乙醚溶解,稀氢氧化钠水溶液提取,分出水相.醚相经水洗、干燥、回收乙醚得粗萘,重结晶得纯品.水相用稀硫酸酸化、冷却,抽滤得粗苯甲酸,水重结晶得纯品.
问题2 拆分
用对映纯的奎宁或马钱子碱作拆分剂,与α-苯基丙酸外消旋体形成非对映异构体的盐,再分步重结晶分离.
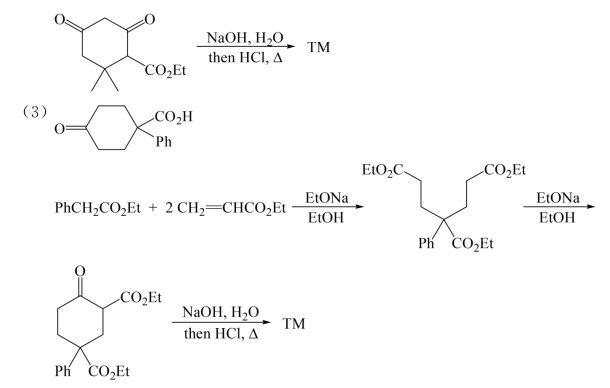
问题3 完成反应

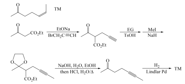
问题4 完成反应

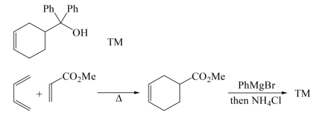
问题5 完成反应

至少需要三分子试剂乙基锂.两分子试剂用来中和羧基与羟基活性氢,第三分子试剂加成羰基.
问题6 回答问题
(1)丙酸 (2)50%
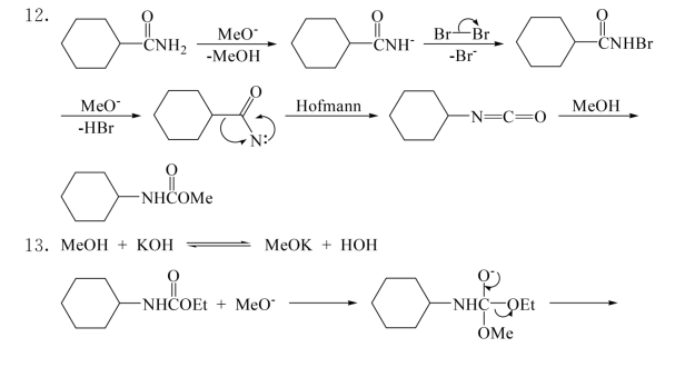
问题7 完成反应


问题8 完成反应

问题9 完成转化
i 2 LDA;ii MeI;iii HCl
问题10 完成转
(1)i HCl;ii Mg/ether;iii CO2,then HCl/H2O
(2)i HBr;ii Mg/ether;iii CO2,then HCl/H2O
(3)i H2SO4/100℃;ii Br2/FeBr3;iii H2O/Δ;iv Mg/ether;v CO2,then HCl
(4)i Mg/ether;ii CO2,then HCl;iii Ag NO3/NaOH;iv Br2,CCl4/Δ
(5)i NaH;ii Mei;iii MeMgI;iv CO2,then HCl
i 2 NaH;ii 2 CO2,then HCl
(6)i PCl5/Δ;ii EtOK,EtOH/Δ;iii MeMgI;iv CO2,then HCl
问题11 完成反应

问题12 合成设计
(1)i Cl2/PCl3;ii NaCN/Na2CO3;iii H2O/H2SO4
(2)i H2SO4/170℃;ii Br2/CCl4;iii 2 NaCN;iv H2O/H2SO4
(3)i NBS/CCl4;ii HBr/Bz2O2;iii 2 NaCN;iv H2O/H2SO4
(4)THF:i THF,2 HBr/Δ;ii 2 NaCN;iii H2O,H2SO4/Δ
丁二烯:i Butadiene,Br2;ii 2 NaCN;iii H2O/H2SO4;iv H2/Raney Ni
乙炔:i Acetylene/CuCl;ii H2/Lindlar Pd;iii Br2;iv 2 NaCN;v H2O/HCl;vi H2/Raney Ni
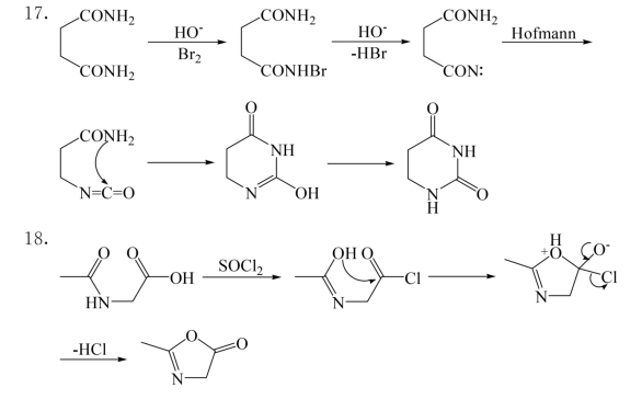
问题13 完成转化
(1)i CrO3/AcOH;ii NaHSO3/NaCN;iii HCl/H2O
(2)i Na2Cr2O7/H2SO4;ii NaCN/H2SO4;iii HCl/H2O
(3)i NaCN/H2SO4;ii H2O/H2SO4
问题14 完成转化
(1)i CrO3/AcOH;ii NaCN/NH4Cl;iii HCl/H2O
(2)i NaCN/NH4Cl;ii H2O/H2SO4
问题15 完成转化
(1)i NaCN/NaHSO3;ii H2O/HCl/Δ;iii H2SO4/Δ
(2)i NaCN/NaHSO3;ii H2O/HCl;iii H2SO4/Δ;iv H2/Pd-C
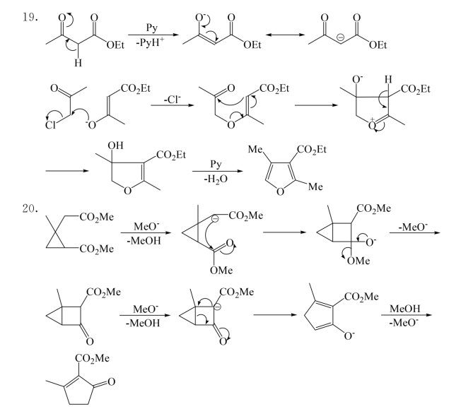
问题16 完成反应

问题17 解释反应

问题18 违反Bredt规则,即[2.2.1]型桥环的桥头碳不能处于sp2杂化状态,亦即不能烯醇化.
问题19 排序:B A C
问题20 完成反应

问题21 完成反应

问题22 构型保持,旋光.
问题23 完成反应

问题24 完成反应


问题25 完成反应

问题26 完成转化
(1)

(2)i n-C4H9Br,Mg/ether;ii CO2,then HCl;iii EtOH/H2SO4;iv Na/PhH,then HCl,H2O
i n-C4H9Br,Mg/ether;ii CO2,then HCl;iii EtOH/H2SO4;iv DIBAL;v Thiazolium catalyst
酯用醇酮缩合,脂肪醛用噻唑季铵盐(thiazolium catalyst)催化安息香缩合.
问题27 完成反应

问题28 分别选取三种原料:
![]()
问题29 完成转化

(2)NaOEt,EtOH/reflux,then AcOH
i NaOEt,EtOH/reflux,then AcOH;ii NaOH,H2O/Δ,then HCl/Δ
问题30 完成转化
(1)i Ph3CNa;ii aq NaOH,then HCl/Δ
(2)i Ph3CNa;ii NaOH,H2O/Δ,then HCl,H2O/Δ
问题31 完成反应
(1)No reaction. (2)No reaction.

问题32 完成转化
i HNO3;ii EtOH/H2SO4;iii NaOEt/EtOH;iv NaOH/H2O,then HCl,H2O/Δ
问题33 完成反应


问题34 合理的原料选择:

问题35 完成反应并评论:

多两个甲基的反应较好,改为环己环更好,此为偕二甲基效应(gem-dimethyl effect),又称Thorpe-Ingold效应.
问题36 合成:

问题37 给出反应产物并建议机理

问题38 转化:
i HBr,H2SO4/Δ;ii KOH,EtOH/Δ
i TsCl/Py;ii EtOK,EtOH/Δ
i AcOH,H2SO4/Δ;ii 500℃
问题39 由开链原料合成


问题40 完成反应

问题41 完成反应

问题42 完成反应

问题43 完成反应

问题44 完成反应

问题45 完成反应

问题46 完成反应

问题47 完成反应

问题48 完成转化
(1)i MeMgI,then H2O/HCl;ii HCl;iii Mg/ether;iv CO2;v NH3/Δ;vi Cl2,NaOH,H2O
i Mg-Hg/PhH;ii H2SO4;iii NaOCl,H2O;iv NH3/Δ;v Br2,NaOH/H2O
i Mg-Hg/PhH;ii H2SO4;iii NH2OH/HCl;iv H2SO4;v NaOH,H2O

问题49 完成反应

问题50 合成:
THF:i HBr;ii 2 NaCN;iii H2O/H2SO4
丁二烯:i Br2;ii 2 NaCN;iii H2O/H2SO4;iv H2/Pd-C
问题51 完成反应
(1)CH3CH2CO2Et(2)CH3CH2C(OEt)3(3)NaCN;EtOH/H2SO4
问题52 完成反应

问题53 合成:
![]()

问题54 完成转化

问题55 完成转化
i NaCN;ii NaH;iii MeI;iv HCl,H2O/Δ
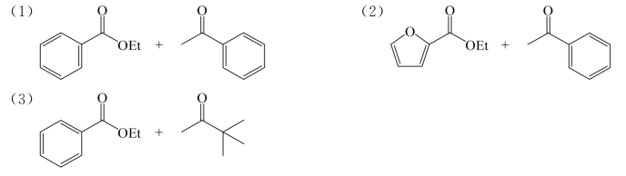
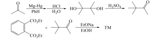
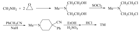
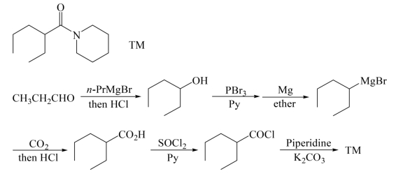
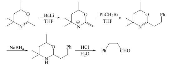
问题56 合成美沙酮(methadone):(https://www.daowen.com)

问题57 合成设计
i NBS/CCl4;ii NaCN;iii BrCH2CH2Br/NaH
问题58 合成设计

问题59 建议机理
氰化氢(HCN)亦有Ritter反应,得到甲酰胺.

问题60 完成反应
(1)HOCH2CH2OCH2CH2CN (2)HOCH2CH2SCH2CH2CN
(3)HOCH2CH2NHCH2CH2CN (4)HOCH2CH2N(CH2CH2CN)2
(5)NCCH2CH2OCH2CH2N(CH2CH2CN)2


问题61 都不可以,因为难以发生双分子亲核取代(SN2).
问题62 完成转化
(1)i KMnO4;ii EtOH/H2SO4;Na OEt/EtOH;iii NaOEt/MeI;iv NaOH,H2O,then HCl/H2O,Δ
(2)从上述制得的2-甲基环戊酮开始:i Me2NH/HCl;ii BrCH2CH═CH2;iii HCl,H2O/Δ
问题63 都不可,因为难以发生双分子亲核取代(SN2).
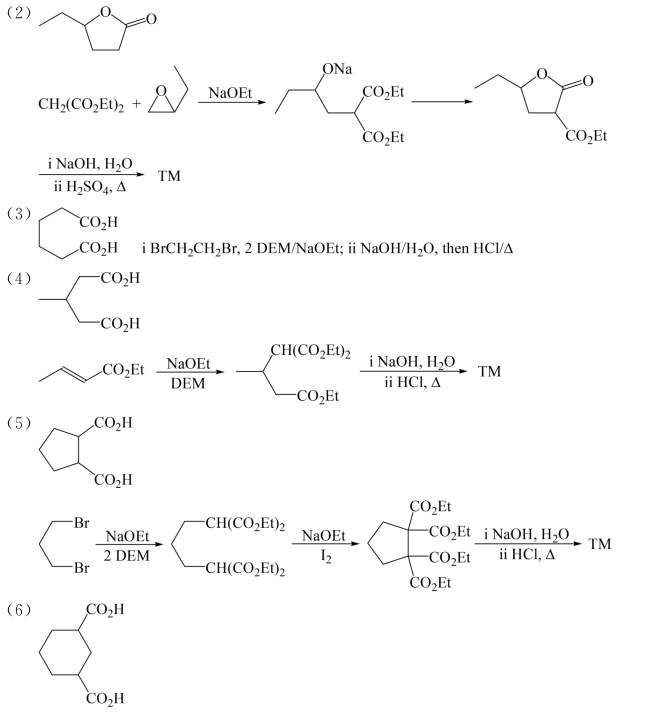
问题64 应用丙二酸酯合成法合成:

i Br(CH2)4Br/NaOEt;ii LiAlH4;iii TsCl/Py;iv CH2(CO2Et)2/NaOEt;v NaOH,then HCl/Δ
![]()
i C(CH2OH)4,TsCl/Py;ii 2 CH2(CO2Et)2/NaOEt;iii NaOH,then HCl/Δ
问题65 以乙酰乙酸乙酯和丙二酸二乙酯为基本原料合成:


习题
一、完成反应



二、完成转化
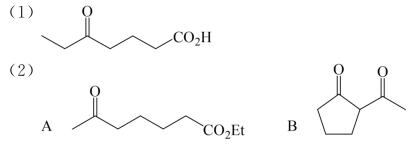
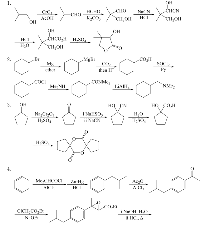
1.丁酸转化:


3.基本思路是茴香醛加成氰化氢.这里提供了三种转化成醛的方法:Grignard试剂与甲酰胺,酰氯和腈还原.

i Mg/ether;ii CO2,then HCl;iii SOCl2/Py;iv H2/Pd,BaSO4;v NaCN/NH4Cl;iv H2O/H2SO4

i Mg/ether;ii CO2,then HCl;iii SOCl2/Py;iv NH3;v P2O5/Δ;vi SnCl2/HCl,then HCl/H2O; vii NaCN/H2SO4;viii H2/PtO2
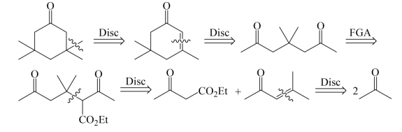
4.

5.i KMnO4;ii EtOH/H2SO4;iii Mg-Hg/PhH;iv MnO2;v KOH/Δ,then HCl
i KMnO4;ii EtOH/H2SO4;iii(CO2Et)2/NaOEt;iv NaOH,then HCl/Δ;v KOH/Δ,then HCl
6.i Mg/ether;ii CO2,then HCl;iii SOCl2;iv NH3;v Br2,NaOH,H2O
7.i HOCH2CH2OH/TsOH;ii MeMgI;iii HCl,H2O
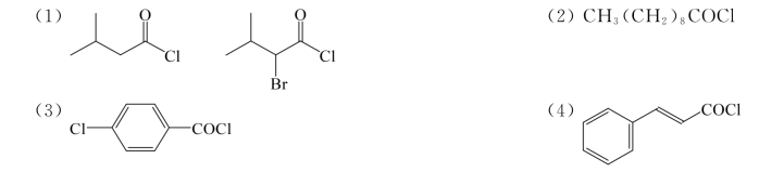
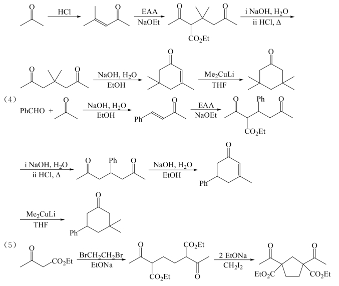
8.环戊酮转化:


三、合成设计


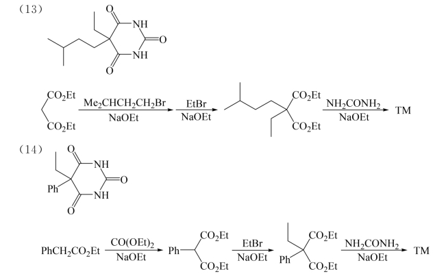
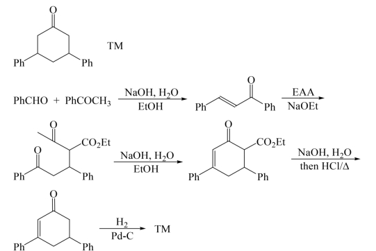
5.乙酰乙酸乙酯(EAA)合成法合成:

(3)参见第8章 问题81(2).
逆合成分析(RSA):

合成:


6.丙二酸乙酯(DEM)合成法合成:

i CH3CH2CH2Br/NaOEt;ii BrCH2CH═CH2/NaOEt;iii NaOH/H2O,then HCl/Δ




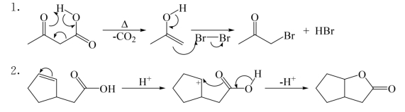
路线Ⅰ(11)用活性MnO2温和氧化即可.
路线Ⅱ或采用二甲基戊二酸酯与草酸酯缩合:


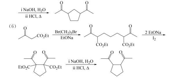
7.合成设计


8.以丙烯酸甲酯和甲胺为基本原料合成:

i MeNH2,2 CH2═CHCO2Me;ii NaOEt/EtOH;iii NaOH/H2O,then HCl/Δ

i MeNH2,2 CH2═CHCO2Me;ii NaOEt/EtOH;iii NaOH/H2O,then HCl/Δ;iv NH2NH2,KOH/EG,Δ

i MeNH2,2 CH2═CHCO2Me;ii NaOEt/EtOH;iii NaOH/H2O,then HCl/Δ;iv Ph3P═CH2

i MeNH2,2 CH2═CHCO2Me;ii NaOEt/EtOH;iii NaOH/H2O,then HCl/Δ;iv MeMgI,then HCl;v H3PO4/Δ

i MeNH2,2 CH2═CHCO2Me;ii NaOEt/EtOH;iii NaOH/H2O,then HCl/Δ;iv MeMgI,then HCl;v H3PO4/Δ;vi H2/Raney Ni

i MeNH2,2 CH2═CHCO2Me;ii NaOEt/EtOH;iii NaOH/H2O,then HCl/Δ;iv MeNH2,H2/Raney Ni
9.合成设计

10.合成设计

11.合成设计

12.合成设计

13.合成设计

14.合成设计

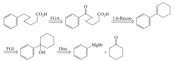
RSA:

官能团增加(FGA)要遵循“双适”原则,即在一个适当的地方(位置)增加一个适当的官能团.这是以退为进策略的应用.
合成:

15.合成设计

RSA:

二苯基乙二酮与1,3-二苯基丙酮要分别制备.
1,3-二苯基丙酮有多种方法制备:
路线Ⅰ

路线Ⅱ
![]()
路线Ⅲ
![]()
路线Ⅳ
![]()
二苯基乙二酮可由安息香缩合制备:

二苯基乙二酮与1,3-二苯基丙酮在氢氧化钾存在下在乙醇中回流即缩合环化:

四、建议机理



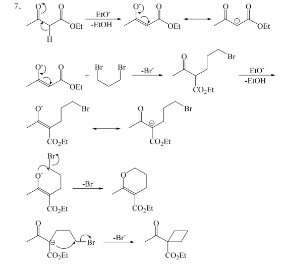
第二步烷基化都是分子内亲核取代(SNi),氧烷基化形成六元环,碳烷基化则是四元环,前者更容易.



此为Baker-Venkataraman重排(反应).



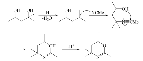
23.反应机理:Ritter反应

合成举例:

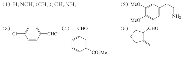
五、推导结构


