3.1.1 复积分的定义
2026年01月14日
3.1.1 复积分的定义
设C为平面上给定的一条光滑(或逐段光滑)曲线,则沿曲线C有两个方向,若选定其中的一个方向作为正方向,则称曲线C为有向曲线.设曲线C有两个端点A与B,若把从A到B的方向作为曲线C的正方向,则从B到A的方向就是C的负方向,记作C-.对于简单闭曲线,其正方向是指曲线上的点P沿此方向在该曲线前进时,邻近P点的曲线内部始终位于P点的左方,与之相反的方向就是曲线的负方向,而当曲线C为圆周时,逆时针方向就是曲线的正方向,顺时针方向为曲线的负方向.
复积分与一元实函数的定积分在定义的叙述上非常类似.
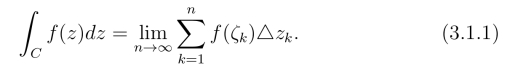
定义 设函数w = f(z)定义在区域D内,C为在区域D内起点为A,终点为B的一条光滑的有向曲线,把曲线C任意分成n个弧段,记分点为在每个弧段
上任意取一点ζk(图3.1),并记作和式
A=z0,z1,z2,··· ,zn =B

(https://www.daowen.com)
这里△zk =zk-zk-1.记
的长度,![]()
当λ趋于零时,如果对C的任意分法及ζk的任意取法,Sn有唯一极限,那么称这极限值为函数f(z)沿曲线C 的积分,记作

若C为闭曲线,则沿此闭曲线的积分记作![]()
由定义可以看出,当C是x轴上的区间a ≤x ≤b,而f(z)=f(x)时,这个定义就是一元实变函数定积分的定义.