3.1.3 复积分的基本性质
2026年01月14日
3.1.3 复积分的基本性质
从复积分的定义,可以推得复积分具有下列基本性质,它们与实变函数中定积分的性质类似.
若复变函数f(z)和g(z)沿其积分路径C可积,则有
1° f(z)±g(z)沿C可积,且有

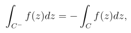
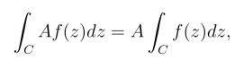
2° 对任意复数A=a+ib,函数Af(z)沿C可积,有3° f(z)沿C的反向曲线C-可积,且有


4° (复积分对积分路径的可加性)若函数f(z)沿曲线Ck(k =1,2,··· ,n)可积,且C 由Ck依次连接而成,则f(z)沿C可积,且有

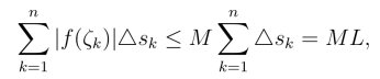
5° (积分的估值性质) 若曲线C的长为L,f(z)沿C可积且在C上处处有|f(z)|≤M,则有

证明 性质1° ~4°可由复积分的定义直接证得,下面只证性质5°.
事实上,△zk是zk与zk-1两点之间的距离,△sk为这两点之间的弧段长度,所以

两端取极限,得

这里
表示连续函数|f(z)|(非负的)沿C的实曲线积分,又由所以![]()
(https://www.daowen.com)
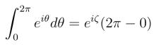
虽然复积分与实变函数中实积分有许多相似的性质,但也有不同的性质,例如实变函数中的积分中值定理在复积分中并不成立.反例如下,复积分

而对任意的ζ(0 <ζ <2π),均有eiζ(2π-0)
0,因此不存在ζ使

成立.
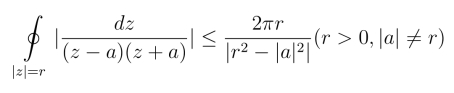
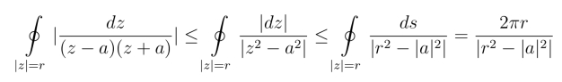
例2 试证

证明 利用性质5°,得

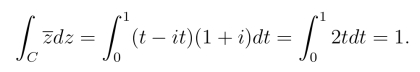
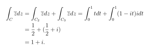
例3 计算
其中C(图3.3)为:
(1)沿从原点到点z0 =1+i的直线段C1 :z =(1+i)t,0 ≤t ≤1;
(2)沿从原点到点z1 = 1的直线段C2 : z = t,0 ≤t ≤1,与从z1到z0的直线段C3 :z =1+it,0 ≤t ≤1所接成的折线.

解 (1)

(2)

从这个例子可以看出,函数f(z)=
从原点到点z0 =1+i的积分与所选取的积分路径有关.在本章的下一节,我们将讨论在什么条件下复变函数的积分与路径无关.