4.2.1 幂级数的概念
2026年01月14日
4.2.1 幂级数的概念
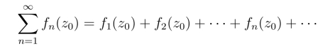
设{fn(z)}(n=1,2,...)为一复变函数序列,均在区域D内有定义.表达式

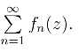
称为复变函数项级数,记作
这级数的前n 项的和
![]()
称为这级数的部分和.若将集合D中某一点z0代人级数(4.2.1)中使复数项级数

收敛,则称该函数项级数在点z0收敛,z0为级数(4.2.1) 的收敛点,其收敛点所构成的集合D0 为该级数的收敛域(D0 ⊆D不一定是区域).这时,对任意z ∈D0可记

S(z)称为级数
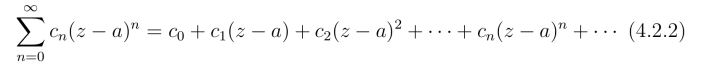
的和函数.当fn(z) = cn-1(z - a)n-1或fn(z) =cn-1zn-1 时,就得到函数项级数的特殊情形.

或

这种级数称为幂级数.若令z-a=ζ,则式(4.2.2)成为
即式(4.2.3)的形式.因此只需要讨论式(4.2.3) 的幂级数.(https://www.daowen.com)
例1 讨论幂级数

的敛散性.
解 级数的部分和为

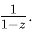
当|z| <1时,由于
即|z| <1 时,级数
收敛,和函数为![]()
当|z| >1时,由于
原级数发散.
当z =1时,则

原级数发散.综上得

在一般情况下,幂级数(4.2.3)是否存在一个圆周|z| = R,它在该圆外部发散且在其内部绝对收敛呢? 回答是肯定的,下面更深入地讨论这个问题.