4.2.4 幂级数的运算性质
2026年01月14日
4.2.4 幂级数的运算性质
对于收敛圆的圆心相同的两个复数项幂级数,它们的四则运算可以像实数项幂级数那样来进行,要根据其系数来确定.对于和、差、积所得幂级数在其公共收敛圆内显然收敛,其收敛半径不会小于所给级数的收敛半径最小的一个.如对乘积运算

若上式左端两个幂级数的收敛半径分别为R1和R2,则其积的幂级数收敛半径R >min{R1,R2}.为了说明两个幂级数经过运算后所得的幂级数的收敛半径确实可以大于R1 和R2 中较小的一个,给出下面的例子.
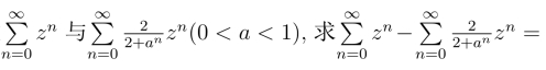
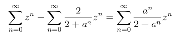
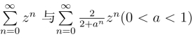
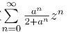
例4 设有幂级数
的收敛半径.
解 容易验证
的收敛半径都等于1.但级数
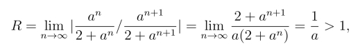
的收敛半径

也就是说,
自身的收敛圆域大于
的公共圆域|z|<1,但应注意,使等式

成立的收敛圆域应仍为|z|<1,不能扩大.
代换(复合)运算.若当|η| <r时,f(η) =
又设在|z| <R内g(z)解析且满足|g(z)| <r,则当|z| <R时,f[g(z)] =
这个代换运算,在把函数展开成幂级数时,特别有用.(https://www.daowen.com)
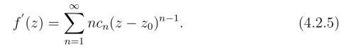
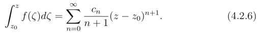
复变幂级数在收敛圆内可以逐项求导,也可以逐项积分.
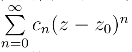
定理4 设幂级数
的收敛半径为R,则
(1)它的和函数f(z),即

是收敛圆内:|z-z0|<R的解析函数.
(2)f(z)在收敛圆内的导数可由其幂级数逐项求导得到,即

(3)f(z)在收敛圆内可以逐项积分,即
