4.3.2 初等函数的泰勒级数展开式
1.直接展开法
从上面定理可以看出,若函数f(z)在点z0解析,从而在该点某个邻域内也解析,则其展开式(4.3.1) 在该邻域内成立,并且可以利用所给函数f(z)的奇点得到幂级数(4.3.1) 的收敛半径; 不必像把实变函数展开成泰勒级数那样验证其幂级数的余项RN(x) →0(N →∞),也不必再利用所得泰勒级数的系数求其收敛半径.所谓直接展开法是指先求出cn =
然后直接利用上面所给泰勒级数展开定理写出其泰勒级数展开式(4.3.1)及其收敛半径.
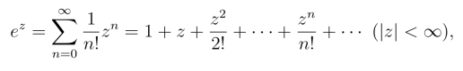
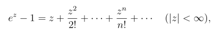
例如函数f(z) = ez,z0 = 0.由于函数f(z) 在整个复平面处处解析,因此它在点z0 = 0处的泰勒级数的收敛半径R = ∞.又因f(n)(0) = 1,所以由上面定理可直接写出它在点z0 =0 处的泰勒级数展开式为

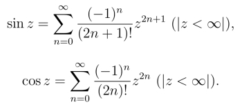
同样可得,下列函数在z0 =0处的泰勒级数展开式分别为

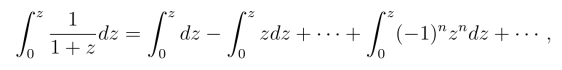
例1 求对数函数的主值ln(1+z)在z =0 处的泰勒展开式.
解 我们知道,ln(1+z)在从-1向左沿负实轴剪开的平面内是解析的,而-1 是它的一个奇点,所以它在|z|<1 内可以展开成z的幂级数.
因为[ln(1+z)]′ =
而

任取一条从0到z的积分路线C,将上式的两端沿C 逐项积分,得

即

这就是所求的泰勒展开式.
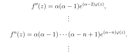
例2 求幂函数(1+z)a (a为复数)的主值:
![]()
在z =0处的泰勒展开式.
解 显然,f(z)在从-1起向左沿负实轴剪开的复平面内解析,因此必能在|z|<1内展开成z的幂级数.设
![]()
所以
![]()
求导,得

即
![]()
继续求导得

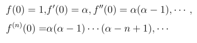
令z =0,得

所求展开式为

特别地α=-1时,有
=1+z+z2+z3+··· (|z|<1).
2.间接展开法
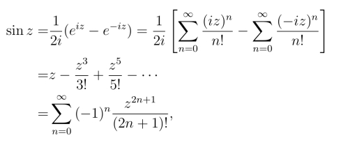
借助一些已知函数的展开式,利用幂级数的运算性质和分析性质(上一节定理4),以惟一性为依据来得出一个函数的泰勒展开式.这种方法称为间接展开法.例如sin z在z =0的泰勒展开式也可用间接展开法得出:(https://www.daowen.com)

从而得出cos z在z =0的泰勒展开式为

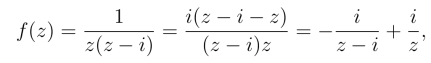
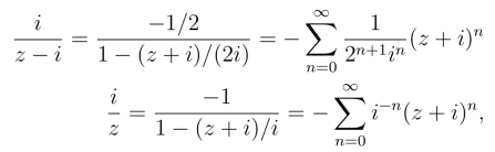
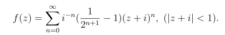
例3 将函数f(z)=
在z0 =-i处展开成泰勒级数.
解 函数f(x)的奇点为i和0,距z0 =0最近的不解析点为原点,因此收敛半径R=1.由于

且

两式相减可得所求展开式为

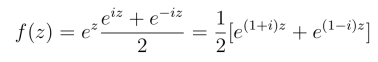
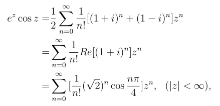
例4 求f(z)=ez cos z在z =0处的泰勒展开式.
解

利用函数ez的泰勒级数展开式可得其展开式为

f(z)处处解析,其收敛半径R=∞.
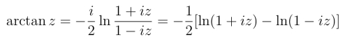
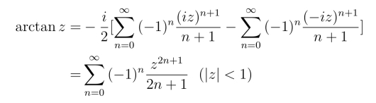
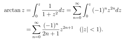
例5 求f(z)=arctan z在z =0处的泰勒展开式.
解 解法1 由于

利用例1的结论,则有

解法2 因为

而

从而

由上一节的定理4和本节的定理知,幂级数
在收敛圆内|z -z0| <R 的和函数是解析函数; 反过来,在圆域|z -z0| <R 内解析的函数f(z)必能在z0展开成幂级数
所以,f(z)在z0解析跟f(z)在z0的邻域内可以展开成幂级数
是两种等价的说法.
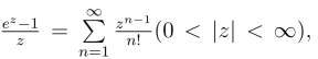
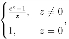
例6 设f(z)=
试证f(z)在点z0解析.并且求它在该点处的泰勒级数展开式及其收敛半径.
解 由于

等式两端除以z
0得
该式右端幂级数的收敛半径R = ∞,由上一节定理4,其和函数S(z)在整个复平面处处解析,且S(0) = 1 = f(0),于是在整个复平面有S(z) = f(z),f(z)在整个复平面解析,且有

这就是f(z)在点z0的泰勒级数展开式,且R=∞.