4.3.1 泰勒级数展开定理
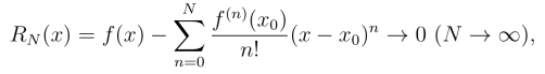
对于一元实函数来说,若f(x)在点x0的某邻域内有任意阶的导数,并且在该邻域内恒有余项

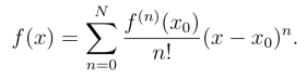
则f(x)在点x0的该邻域内的泰勒(Taylor)级数展开式为

复变函数中,函数f(x)在点z0的某邻域内有任意阶导数等价于它在该邻域内解析,对于解析函数有下面的展开定理.
定理1(泰勒级数展开定理) 若函数f(z) 在圆形区域D:|z-z0| <R内解析,则它在D内可展开为幂级数

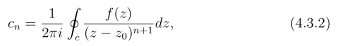
其中
若C为D内绕z0 的正向简单闭曲线,则

并且展开式惟一.
在定理1中并没有要求余项趋于零,也就是说若函数f(z在z0 点解析,则在该点的某个邻域内一定可展开成幂级数.
为证明定理1,首先证明下面的引理.
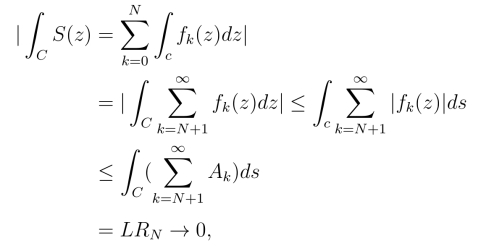
引理(函数项级数的逐项积分) 设S(z)和fn(z)(n = 0,1,2,···) 在区域D内连续,C为D内任一有向简单曲线,且当z ∈D时有

若存在收敛的正项级数A0+A1+···+An+···,使在C上恒有
![]()
则有

证明 由于级数
收敛,因此当N →∞时,必有其余项
![]()
于是设曲线C长为L,当N →∞时有

这就证明了该引理.
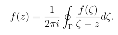
定理1的证明 设z为D内任一点,对于D内任一闭曲线C,总可取圆周Γ : |ζ -z0| = r使点z和曲线C都在Γ的内部(图4.1).由于f(z)在Γ上及其
内部解析,因此由柯西积分公式可得
(https://www.daowen.com)

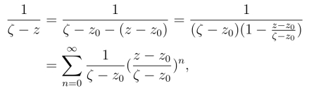
由于|z-z0|<r,因此

从而

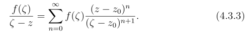
即

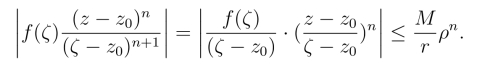
由于f(ζ)在Γ上连续,故|f(ζ)|在Γ上有上界M,从而对Γ内任一点z有

由于
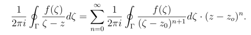
是收敛的等比级数,对式(4.3.3)使用引理得

即

使用柯西积分公式和高阶导数公式,则有

令cn =
则
下面证唯一性.设f(z)在D内又可展成

则因为幂级数在收敛圆内可逐项求导,则有
![]()
令z =z0,则
于是

即展开式唯一.
由此定理可知,求解析函数在z0点的泰勒级数展开式,无须验证RN(z)→0(N →∞).
设z1为距z0最近的f(z)的奇点,令|z-z0|=R,则R 为f(z)在z0点的泰勒级数的收敛半径.这是因为f(z) 在收敛圆内解析,故奇点z1 不可能在收敛圆内,又因为奇点z1不可能在收敛圆外,不然收敛半径还可以扩大,因此奇点z1 只能在收敛圆周上.