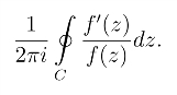
5.4.1 对数留数
函数f(z)关于闭曲线C的对数留数是指积分

这里需要假定函数
在C上解析.显然当C为简单正向闭曲线时,上述对数留数就是对数函数Lnf(z)的导数在C内部各个孤立奇点处留数之和.
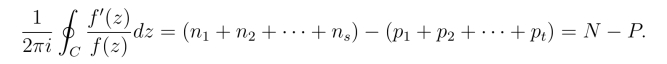
函数f(z)关于简单闭曲线C的对数留数与它在C内部的零点和极点的个数有密切的联系.即
定理1 若函数f(z)在正向简单闭曲线C 上解析且没有零点,又在C的内部除有限个极点外解析,则有

其中N与P分别是f(z)在C内部零点和极点的总个数,在计算零点与极点的个数时,m级的零点或极点按m个零点或极点计算.
证明 设在C内f(z)只有nk级零点ak(k = 1,2,··· ,s),且只有pk级极点bk(k =1,2,··· ,s).显然有n1+n2+···+ns =N,p1+p2+···+ps =P.由留数定理,只须证明对它的每个零点和极点有

事实上,f(z)在零点ak的邻域|z-ak|<δ可表示为
![]()
其中φk(z)在该邻域内解析且φk(ak)
0.于是有
![]()
由于零点ak是孤立的,因此存在它的一个去心邻域使在其内φk(z)
0,从而在该去心邻域内有
(https://www.daowen.com)
由于在|z-ak| <δ内,φk(z)解析,因而φ′k(z)也解析,并且φk(z)
0,因此
是这一邻域内的解析函数,从而ak 为函数
的一级极点,且有

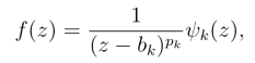
同样,由于bk是f(z)在C内的pk级极点,则在bk 的去心邻域0 <|z-bk|<δ′内,有

其中ψk(z)是邻域|z-bk| <δ′内的一个解析函数,且ψk(bk)
0,从而在这个邻域内有ψk(z)
0.由上式得
![]()
故在0 <|z-bk|<δ′内,有

由于在|z-bk|<δ′内,ψk(z)解析,因而ψk(z)也解析,且ψk(z)
0,因此
是这一邻域内的解析函数.由上式知bk是函数
的一级极点且留数为-pk.于是

上面定理可用来计算式(5.4.1)中的复积分.
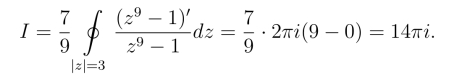
例1 计算复积分
解 设f(z)=z9-1,则f(z)在正向圆周|z|=4上解析且无零点,而且在其内部也解析,有9个零点,则N =9,P =0,由定理1,得
