5.3.3 形如的积分
2026年01月14日
5.3.3 形如
的积分
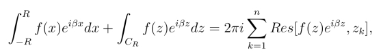
定理3 设函数f(z)在实轴上无奇点,且在上半平面除有限个奇点z1,z2,··· ,zn外解析,若存在正数M和r,使当|z|≥r且Imz ≥0 时,函数f(z)解析且有
![]()
则有

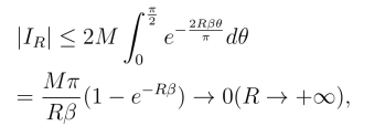
证明 设CR为上半圆周: z = Reiθ(0 ≤θ ≤π),取充分大的R使R ≥r,并且奇点z1,z2,··· ,zn均在由CR 及实轴上从-R到R的一段所围成的半圆内,则由留数定理得

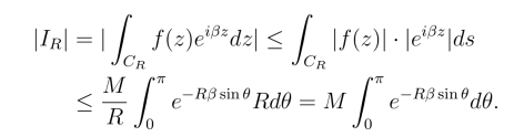
只须证明当R →+∞时,上述沿CR 的积分趋向零.
由于当|Z|≥r时有|f(z)|≤M/|z|,因此,当R ≥r时记沿CR的上述积分为IR,有

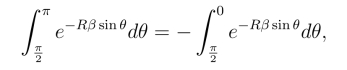
若令φ=π-θ,可得

从而有![]()
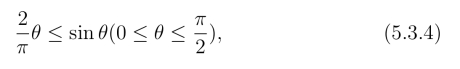
由图5.3可以看出下面的不等式成立

因此得


于是令R →+∞,则得所证等式(5.3.3).
由定理3可得下面的推论:
推论 若有理函数f(z) =
在实轴上无奇点,但Q(z)的次数比P(z)的次数至少高一次,则式(5.3.3)成立.
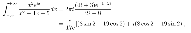
通过计算
分别取其实、虚部可得到下面两类积分的值

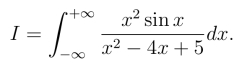
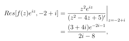
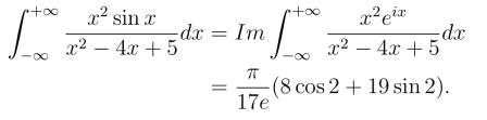
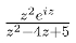
例5 计算积分

解 函数f(z)eiz =
在上半平面内只有一个简单极点z =-2+i,且

由定理3推论得

因此取其虚部(https://www.daowen.com)

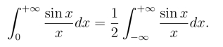
在上面所提到的第二、三种类型的积分中,都要求被积函数中的f(z)在实轴上无奇点.但对于实轴上有孤点奇点的情形,可用下面例题中的方法进行处理.
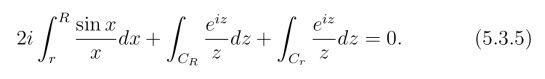
例6 计算积分

的值.

解 因为
是偶函数,所以

可取
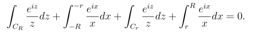
沿某一条闭曲线的积分来计算上式右端的积分.但是,z = 0是
的一级极点,它在实轴上.为了使积分路线不通过奇点,我们取如图5.4所示的路线.由柯西积分定理,有

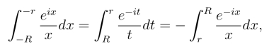
令x=-t,则有

所以

即

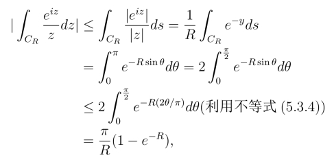
由于

因此

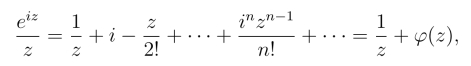
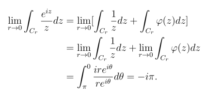
又因

其中φ(z) = i-
在z = 0是解析的,且φ(0) = i,因而当|z|充分小时,|φ(z)|有界,设|φ(z)|≤M,则有

从而有

这样由式(5.3.6)可得

即
