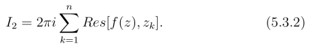
5.3.2 形如的积分
2026年01月14日
5.3.2 形如
的积分
定理2 设f(z)在实轴上解析,在上半平面Imz >0除有限个奇点z1,z2,··· ,zn 外解析.若存在正数r,M 和α >1,使当|z| ≥r 且Imz ≥0 时f(z)解析且满足|f(z)|≤M/|z|α,则积分I2 =
存在且有

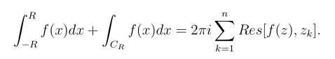
证明设CR为上半圆周z = Reiθ(0 ≤θ ≤π),取充分大的R 使R ≥r并且奇点z1,z2,··· ,zn均在由CR及实轴上从-R 到R 的一段所围成的闭路内(如图5.2),由留数定理得


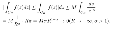
由于在CR上|f(z)|≤
因此

从而当R →+∞时可得所证结果

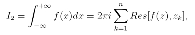
若f(x)=
为有理函数,Q(x)在x轴上无零点,且Q(x)的次数至少比P(x)的次数高两次,则有

当|z|充分大时,有
![]()
即
(https://www.daowen.com)
于是由定理2可得:
推论 若f(x) =
为有理函数,在上半平面上的奇点为z1,z2,··· ,zn,Q(z) 在实轴上无零点,且Q(z)的次数至少比P(z)的次数高两次,则式(5.3.2)成立.
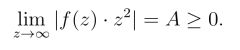
例3 计算积分

解 f(z)满足定理2推论的条件,在上半平面内只有两个简单极点z = i和z =2i,且

因此得

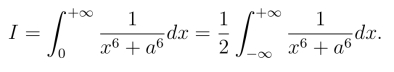
例4 计算积分

解 由于f(x)=
为偶函数,因此

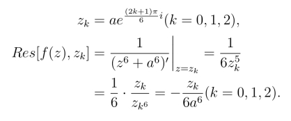
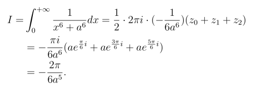
f(z)在上半平面有3个简单极点

由定理2推论
