9.1.2 物理意义

9.1.2 物理意义

设F(w)=F(s(t))为s(t)的傅里叶变换,图示的傅里叶变换,由于h(t) 的傅里叶变换:

图示

可以得到:

图示

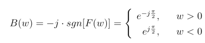
-j·sgn[F(w)]可以表达为(https://www.daowen.com)

图示

或者

图示

所以B(w)是一个图示的相移系统,即希尔伯特变换相当于一个图示的相移,对正频率产生图示 的相移,对负频率产生π 2的相移,因此希尔伯特变换又称为90°相移器.