9.1.3 解析函数的虚部

9.1.3 解析函数的虚部

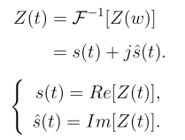
为了进一步了解希尔伯特变换的意义,我们引入解析函数Z(t):

图示

也可以写成:

图示

其中A(t)被称为Z(t)的幅度,φ(t)被称为Z(t)的辐角.希尔伯特变换的幅度A(t)被定义为:

图示

幅角定义为:

图示(https://www.daowen.com)

根据傅里叶变换:

图示

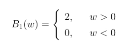
为了计算Z(w),由图示(w)=-jsgn(w)F(w) 知:

图示

其中

图示

因此可以从F(w)简易的得到Z(t),而Z(t)的虚部即是ˆs(t).